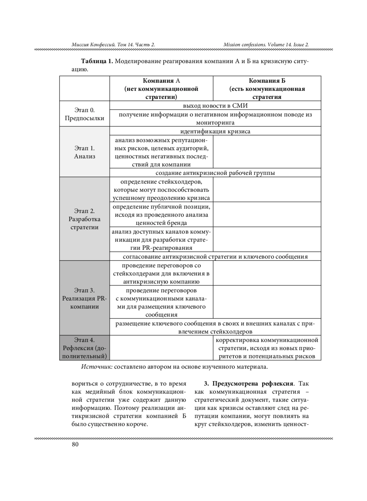
Современное общество переживает значительные социально-экономические трансформации, вызванные глобализацией, информатизацией и усилением роли массовых коммуникаций. В таких условиях PR становится важным инструментом управления общественным мнением и адаптации компаний к изменяющейся среде. Возрастающая конкуренция, снижение уровня контроля над информационными потоками, превалирование эмоциональной составляющей информационных поводов над фактологией ставит перед профессиональным сообществом новый вызов: минимизация возникновения кризисных ситуаций и снижение репутационного урона при реализации кризиса. Несмотря на наличие большого количества инструментов, направленных на преодоление кризисных ситуаций, автор полагает, что ключевую роль в преодолении кризисов играет коммуникационная стратегия. В данной статье автором систематизирована теоретическая и прикладная база, обосновывающая превентивную роль выстроенной коммуникационной стратегии во время кризисных ситуаций.
Идентификаторы и классификаторы
- SCI
- Социология
- УДК
- 316. Социология
Термин «кризис» имеет широкий спектр определений, включая такие действия, как стихийные бедствия и личные проблемы [1].
Если у вас возникли вопросы или появились предложения по содержанию статьи, пожалуйста, направляйте их в рамках данной темы.
Список литературы
1. Coombs W. Ongoing crisis communication: Planning, managing, and responding (4th ed.). Thousand Oaks, CA: Sage., 2015. 256 р.
2. Regester M., Larkin J. Risk Issues and Crisis Management in Public Relations: A Casebook of Best Practice (4th ed.). - London: Kogan Page Publishers, 2008. 245 р.
3. Seitel F. The Practice of Public Relations (13th ed.). Harlow: Pearson Education Ltd, 2017. 454 р.
4. Корягина Н.Д. Антикризисное управление: учебник и практикум для вузов / Н.Д. Корягин [и др.]; под редакцией Н.Д. Корягина. - 2-е изд., перераб. и доп. - Москва: Издательство Юрайт, 2024. С. 28.
5. Booth S. Crisis Management Strategy.Competition and Change in Modern Enterprises. London: Routledge, 2015. 314 р.
6. Lerbinger O. The Crisis Manager: Facing Risk and Responsibility. New Jersey: Erlbaum, 1997. 400 р.
7. Виханский О.С., Наумов А.И. Менеджмент: учебник / О.С. Виханский, А.И. Наумов. - 5е изд. стереотипн. - М.: Магистр: ИНФРАМ, 2014. С 45.
8. Kotler Philip, Wong Veronika, Saunders John, Armstrong Gary. Principles of Marketing. - European edition 7th. - Pearson Prentice Hall, 2016. С. 125.
9. Гавра Д.П. Понятие и характеристики коммуникационной стратегии / Российская школа связей с общественностью ред., Том 15 - СПб.: 2019. С. 65-66.
Выпуск
Другие статьи выпуска
В работе фиксируется пересечение и замещение понятий «соборность», «коммунитарность» и «коллективизм», присутствующее в современном научном дискурсе. Неясность терминов мешает адекватно обозначать происходящие в современном социуме процессы взаимодействия и объединения. Автор исследования обращается к оригинальным работам русских философов конца XIX - XX вв. с целью выявления специфики интерпретаций этих понятий в русской религиозной философии. Новизной исследования являются предложенные автором формулировки и соотношение понятий «соборность», «коммунитарность» и «коллективизм». В понятии «соборность» отдельно выделяются богословский, антропологический, гносеологический и социальный аспекты. Предлагаются следующие определения: соборность - глубинное свободное духовное единство, основанное на любви (что важно) и сохраняющее индивидуальность каждого (религиозно-метафизический уровень); коммунитарность - единство мировоззренческих ценностей и принципов, проявляющееся в дружбе и духовном общении; коллективизм - соответствие нормативно-правовым требованиям и профессиональному этосу в трудовом коллективе. В работе показано, как внешнее объединение в трудовом коллективе (коллективизм) может наполняться глубоким внутренним содержанием (коммунитарность и соборность).
Цель: Настоящее исследование направлено на создание основ будущей теоретической системы коммуникативной контактологии. Объектом является вся совокупность процессов коммуникаций и общения, предметом настоящего комплексного анализа является феномен и понятие «коммуникативный контакт» как основной элемент всех процессов общения и коммуникаций. Коммуникативный контакт рассматривается как междисциплинарное понятие и предпринимается попытка создания его комплексной, интеграционной модели. Данная модель открывает новые возможности изучения различных систем личных и социальных контактов с использованием современных психологических и социологических средств, связанных с электронными информационными технологиями. Реализация этих возможностей может принести значимый практический результат.
Методы: Предлагается комплексный, междисциплинарный подход в исследовании коммуникативных контактов, он основан на методологии единства аксиологической (идеалы, цели, ценности, смыслы), антропологической (психологические и социальные характеристики участников контактного взаимодействия) и технологической (средства, формы, способы, приёмы, правила, нормы) сфер коммуникативных контактов. Нарушение гармонического соответствия этих сфер лежит в основе формирования конфликтных контактов.
Результаты: Результаты исследования связаны с решением задач по созданию теоретической базы для исследования индивидуальных и социальных контактов. Данная база призвана служить реализации практических задач по построению культуры эффективных и плодотворных коммуникативных контактов. Формирование культуры коммуникативных контактов является основой создания системы профилактики конфликтных контактов и разрешения конфликтов в сфере коммуникативных контактов.
Выводы: Решение задач по созданию комплексной модели изучения коммуникативных контактов возможно на объединении усилий специалистов всего комплекса социогуманитарных наук и создания целостного учения о прикладной коммуникативной контактологии.
Значительно увеличивающаяся скорость распространения блогов и разрастание блогосферы как площадки и способа применения, реализации человека информационного общества вызвали необходимость философского и культурологического осмысления данного явления. Особенно это важно в условиях лавинообразного распространения информационных технологий, замещения реальности виртуальной и, как следствие, влияния этих процессов на культуру современного общества.
Изменения социокультурного пространства, кризисные явления и процессы, протекающие в социуме, общественная нестабильность, актуализируют задачу рассмотрения блога и его роль в культурной жизни социума, блога как социокультурного феномена, рассмотреть блог как инструмент изменения социокультурной реальности, истоки культурогенеза блога, дискурс блогосферы в нарративной культуре, а также в выявлении тех ценностей, которые определяют сознание и поведение человека информационного общества.
Изучение концептуальной системы древнекитайской эстетической мысли является необходимым содержанием для представления и объяснения китайской эстетической мысли, соединения китайской и западной эстетической культуры. Древняя китайская философия основана на терминах, категориях и предложениях, которые появились на основе различных дисциплин, таких как поэзия, живопись, литературное творчество и т. д., и формировании концептуальной системы со своими собственными отличительными характеристиками путем формирования идеологического содержания, которое проходит через всю систему китайской эстетической мысли и полностью представляет характеристики древнекитайской эстетической мысли. В процессе непрерывного развития этого содержания постоянно генерируются новые концепции на основе интерактивного развития китайской и западной цивилизаций. В этой статье мы берем перспективу музыкальной практики в качестве резака для завершения резюме характеристик трех метаединиц терминов, категорий и предложений в концептуальной системе древнекитайской эстетической мысли и объясняем взаимосвязи между тремя. В то же время данная статья иллюстрирует фактическое выражение древнекитайской эстетической мысли в контексте музыкальной практики и различных видов литературной и художественной деятельности, с тем чтобы сформировать введение в систему теоретических знаний древнекитайской эстетической мысли в перспективе музыкальной практики.
Жизненные ориентации представляют собой многоуровневую систему. Они объективно существуют и функционируют в практике социальных взаимоотношений, субъективно осознаются и переживаются как ценностные категории, нормы и цели. В результате этого осознавания они становятся личностной позицией человека. Признаками жизненных ориентаций являются их открытость и доступность для всех, бесспорность ценностно-смыслового содержания, неподверженность моральному старению (Каунова, 2006).
Теме жизненных ориентаций посвящено большое количество научных трудов русских ученых, таких как В. С. Братусь, В. Г. Алексеева, С. С. Бубнова, Т. В. Корнилова, А. А. Волочков, Д. А. Леонтьев, В. Э. Чуд-новский (см. обзор Каунова, 2006).
Китайская культура отличается выраженным своеобразием. В формировании жизненных ориентаций китайцев можно отметить значительный вклад как традиций, так и современных тенденций в обществе и политике. Следование традиционным патриархальным ценностям, ориентация на социум, сочетается с ориентацией на личные интересы, саморазвитие и получение жизненных благ (Малышева, 2018; Коржова, Дун, 2020).
Синергетический подход эффективен не только в рамках философских исследований процессов самоорганизации в открытых системах, но и при изучении общих закономерностей архитектурного процесса, в проектировании современных объектов, отвечающих требованиям энергоэффективности и экологичности. Принципы синергетики оказали значительное влияние на формирование нового мышления в архитектуре, нового отношения к качеству и эстетическому, функциональному содержанию архитектурной среды. Анализ современного архитектурного процесса с позиций синергетического подхода позволяет выявить основные тенденции, целевые установки и перспективы дальнейшего развития архитектурной среды, как формы объединения объективного и субъективного бытия, материального и идеального.
Статья посвящена философскому анализу феномена самосознания в контексте западной феноменологии и буддийской мысли. Автор исследует противоречия классических теорий самосознания, таких как концепция рефлексии (теории высшего порядка), и альтернативные подходы, представленные Гейдельбергской школой (Генрих, Франк), которая утверждает, что самосознание носит неинтенциональный, ирреляционный характер и предшествует рефлексивным актам. Критикуя идею субъект-объектного дуализма, статья обращается к буддийской школе йогачара, где самосознание рассматривается как поток мгновенных переживаний, лишенных концептуальной фиксации. Анализируются механизмы формирования субъективности через самскары (аффективные тенденции), а также роль медитативных практик в исследовании неинтенционального сознания. Статья подчеркивает связь между феноменологией боли, нейрофизиологическими данными и буддийским учением об анатмане, демонстрируя, как отказ от концептуализации меняет восприятие реальности. Особое внимание уделяется диалогу между западной философией (Сартр, Анри, Левинас) и буддийской эпистемологией (Дхармакирти, Дигнага), выявляя общие основы в понимании аффективной природы сознания. Исследование заключает, что самосознание коренится в довербальном, аффицированном опыте, который структурируется травматическим воздействием Другого и языка, но сохраняет изначальную феноменальность, доступную через медитативную редукцию.
Статья посвящена анализу роли биоэтики как практической философии в Латинской Америке, с акцентом на современные философские концепции и их влияние на развитие биоэтических норм в регионе. В работе рассматриваются историко-культурные предпосылки формирования биоэтики, включая влияние философии освобождения и теологии. Особое внимание уделяется трудам таких философов, как Флоренсия Луна, которая вводит концепцию «многослойной уязвимости», и Хуан Карлос Теальди, который анализирует биоэтику через призму власти и социальной справедливости. Статья критикует универсалистские подходы и акцентирует внимание на необходимости контекстуального подхода в решении биоэтических проблем, таких как доступное здравоохранение, права маргинализованных групп и другие. В заключении предлагаются рекомендации по дальнейшему развитию биоэтики, ориентированной на реальные социальные и культурные условия Латинской Америки.
В статье исследуется антропологическое измерение историософской концепции Н. А. Бердяева о будущем России.
Цель работы заключается в выявлении связи между философской антропологией мыслителя и его видением исторических перспектив России. На основе герменевтического анализа философского наследия Бердяева раскрывается ключевая роль таких категорий как творчество, свобода и духовное преображение личности в контексте исторической судьбы страны. Исследование показывает, что будущее России в интерпретации философа неразрывно связано с духовным самоопределением человека и преодолением кризиса технократической цивилизации. В статье доказывается, что бердяевский подход к проблеме будущего России имеет выраженное антропологическое основание, где историческое развитие страны представлено как реализация творческого потенциала личности.
Результаты исследования позволяют переосмыслить современные вызовы российской идентичности через призму бердяевской философской антропологии, предлагающей альтернативу как технократическому детерминизму, так и традиционалистскому фатализму в понимании исторического процесса. Практическая значимость работы заключается в формировании концептуального базиса для интеграции идей Бердяева в современный культурно-образовательный и общественно-политический дискурс.
Масштабный кризис, который испытала Россия начиная с 90-х годов, привёл к тяжелым последствиям в её духовной жизни и для его преодоления требуются серьёзные усилия всего общества. В представленной статье на обширном историческом материале исследуются предостережения и советы великих русских философов, просветителей, общественных деятелей, которые не потеряли своей актуальности и могут быть использованы на современном этапе борьбы за истинно русскую духовность, благодаря которой Россия преодолевала в своей истории подобные кризисы. Особое место в исследовании занимают материалы, которые содержат иные оценки известных событий в культуре и искусстве происходившие в СССР в 30-50 годах ХХ века. Что касается событий, происходящих в духовной жизни России, то и здесь вместе с тревожными размышлениями приводятся многие перспективные и оптимистичные направления по преодолению возникших проблем в строительстве Русского Мира с его исторической духовностью. Приводятся и имена самых известных современных музыкантов, просветителей и меценатов. Особое места в статье отводится и событиям вокруг Украины, где важная роль отводится музыкальному искусству, которое веками собирало наши народы в общность. Приводятся достаточно редкие и малоизвестные материалы, которые совершенно иначе характеризуют некоторые исторические личности (Сталин, Суслов, Жданов и др.). В статье приводятся интересные и значимые материалы о культурной жизни Алтайского края, которая ярко отражает его трансграничное значение в синтезе культур Востока и России.
В статье представлено философское исследование феномена информационно-социальных и информационно-антропологических перемен взаимодействия и взаимосвязи мирового Целого и его частей. Проведен анализ с использованием холистской и конструктивистской парадигм. Рассмотрены причины изменения информационного пространства, информационного общества, социальных связей и отношений.
Родственные отношения в китайском обществе состоят из кровных и брачных отношений, основанных на клановых отношениях. По сравнению с европейским регионом, структура личных родственных отношений в Китае более обширна и включает в себя три клановых отношения с отцом, матерью и супругом. С развитием социального индивидуализма в Китае «дальние родственные отношения» в родственных отношениях постепенно приходят в упадок, а другие родственные отношения в клане, кроме ближайших родственников, постепенно теряют свою значимость. Это явление “разделения дальних родств” проявляется главным образом в “явлении уменьшения связей между дальними родственниками, уменьшения передвижения и постепенного отчуждения”. Причины этого изменения в основном связаны с изменением индивидуальных жизненных привычек, увеличением различий между поколениями в научно - техническом развитии, трансформацией и изменением социальной структуры. Явление “разделения дальних родств” вызывает различные положительные и отрицательные эффекты и побуждает общество к необходимости правильного здорового “дальнего родства”.
Статья посвящена исследованию роли коллективной ответственности в достижении устойчивого развития на различных уровнях - от локальных сообществ до глобальных инициатив. Авторы рассматривают, как совместные усилия государств, международных организаций, бизнеса и гражданского общества могут способствовать решению современных социальных, экологических и экономических проблем. Особое внимание уделяется вопросам распределения обязанностей, ресурсов и вызовам, возникающим в условиях глобализации. Статья предлагает практические рекомендации для укрепления коллективной ответственности и повышения эффективности взаимодействия между различными акторами.
Статья посвящена теоретическому разграничению понятий «вовлеченность», «участие» и «партисипаторность» в социологии управления, что актуально в условиях антропоцентричного поворота в государственном и муниципальном управлении. На основе компаративного анализа зарубежных и российских концепций выявлены смысловые различия терминов, препятствующие их синонимизации.
Научная новизна работы заключается в систематизации дефиниций через призму социологических теорий, а также в предложении четырехуровневой модели вовлечения граждан в управленческие процессы.
В последние годы искусственный интеллект (ИИ) стал неотъемлемой частью рекламной индустрии, вызывая множество дискуссий о его роли и влиянии на маркетинг. Эксперты разделились на два лагеря: одни считают ИИ потенциальной угрозой для рекламного рынка, другие - его ценным союзником. В статье рассматривается главный вопрос, - является ли искусственный интеллект угрозой для креативных профессий или, наоборот, союзником, который помогает улучшить работу? Авторы не дают однозначного ответа на поставленные вопросы, но приводят примеры использования ИИ в современных условиях.
В представленной работе исследуется эволюция игры с точки зрения темпоральных трансформаций в контексте культурной парадигмы. Отдельное внимание уделяется игровому характеру праздников и их видоизменениям от обрядов к зрелищным мероприятиям. Также рассматривается формирования квестов из игр-испытаний. Кроме того, материал анализирует ключевые особенности эпохи метамодерна. При этом, особое внимание акцентируется на игровой логике квест-технологий и их влиянии на современное общество.
С 1960 - 1970-х годов наблюдается стойкий интерес исследователей по отношению к молодежи вообще и молодежной субкультуре в частности. Это объясняется тем, что молодежные субкультуры являются важным средством изменения современного общества. Научные работы, касающиеся молодежи и молодежных субкультур всегда будут актуальны, так как от молодого поколения зависит будущее развитие общества и государства. Именно подростки являются носителями тех ценностей, с которыми общество войдет в следующий этап своей жизнедеятельности. От молодого поколения зависит культура, которая будут в социуме.
Кроме того, молодежь поддаётся влиянию, их взгляды и ценности изменчивы, поэтому важно сформировать у представителей данной социальной группы правильные ценности, направленные на общественный прогресс.
Авторы рассматривают современные подростковые субкультуры. Проводится анализ возникновения и развития различных молодежных движений, их положительных м негативных сторон.
Особое внимание исследователи уделяют правовому регулированию существования различных субкультур в мировом сообществе.
Объектом исследования является становление критериев элитарной культуры в исторической перспективе. Рассматриваются элементы культурологической рефлексии в античной, средневековой философии, а также в эстетической мысли раннего нового времени. Особое внимание автор уделяет представлениям о социальной и воспитательной роли культуры, как она осмыслялась в трудах основных мыслителей каждого из обозреваемых исторических периодов.
Предметом исследования, таким образом, являются философские и культурологические работы, в которых мы находим критерии элитарной культуры.
Автор подробно рассматривает такие аспекты темы, как античный культурный идеал, понимаемый в качестве упорядоченного космоса, а также трансформация этого идеала в последующие эпохи, в частности, в рамках культуры христианского средневековья. Помимо анализа и интерпретации классических философских и культурологических трудов, автор также обращается к современным теоретическим подходам, например, к концепциям «постистины» и «знания как борьбы за власть» Стива Фуллера. При работе с текстами и отдельными понятиями используются методы исторической реконструкции, а также компаративного анализа.
Новизна исследования заключается в том, что в фокусе исследования находятся размышления об элитарном характере культуры, которым уделяется не так много внимания в исследовательской литературе. Таким образом, настоящее исследование закрывает лакуну в отечественной культурологии. Особым вкладом автора можно считать выделение ряда критериев элитарности, свойственных разным историческим эпохам. Автор полагают, что выделенные критерии обладают эвристической ценностью и могут быть использованы в дальнейшей работе.
Основной вывод, который делает автор, заключается в том, что в целом ряде ключевых философских работ, затрагивающих проблему культуры, может быть найдено описание элитарной культуры, а также критерии элитарности. Это представляет особенный интерес для нас сегодня, поскольку, согласно современному культурологическому мейнстриму, границы между элитарной и массовой культурой являются размытыми, как и критерии отнесения конкретных культурных объектов к тому или иному типу культуры.
Во «Введении», исходя из названия, формулируется цель, основные задачи и методология исследования. «Теоретическая часть» содержит последовательный анализ песенного материала ВОВ и СВО и основные отличия, созданных в указанные периоды произведений. В «Заключении и выводах» подводятся итоги исследования, выявляющие ценностные отличия в менталитете человека двух периодов истории. К которым относятся коллективизм и индивидуализм, готовность жертвовать собой и стремление к сохранению собственной жизни, а также профессионализм и дилетантизм, повлекшие за собой качественную дифференциацию произведений периода СВО. Отмечается факт, что наиболее качественными оказались произведения, в той или иной степени связанные с отечественной традицией военной песни.
Философский взгляд позволяет увидеть культуру в предельно широкой перспективе - как специфически человеческий способ бытия, систему надбиологических программ деятельности, поведения и общения. Философия ставит вопросы о сущности и смысле культуры, ее генезисе, структуре, динамике, функциях в жизни человека и общества. Она выявляет наиболее общие закономерности и механизмы культурного творчества и трансляции культурного опыта. В статье показываешься, что союз философии и культуры необходим для целостного и всестороннего постижения многогранного универсума культуры во всем богатстве его проявлений - от повседневных практик до высших достижений человеческого духа. Опираясь на философский базис, культурология как интегральная наука углубляется в более детальный анализ конкретных культурных форм, практик, институций в синхроническом и диахроническом измерении. Она привлекает данные истории, антропологии, психологии, социологии, искусствоведения и других дисциплин для всестороннего описания культурных феноменов.
Статья впервые анализирует онлайн-присутствие старообрядцев Дальнего Востока (поповцев и беспоповцев), рассматривая использование ими различных интернет-ресурсов и классифицируя их активность как «introverbum» (создаваемый старообрядцами контент) и «extraverbum» (контент внешних источников). Исследование актуально ввиду растущего влияния цифровых технологий на религию. В статье изучается отношение старообрядцев к интернету, а также положительные и отрицательные последствия цифровизации их религиозной жизни. Анализ показывает ограниченное использование онлайн-платформ на Дальнем Востоке (представленное в основном в Забайкальском и Бурятском регионах), что связывается с малочисленностью общин, возрастом прихожан, техническими ограничениями и отсутствием миссионерской активности. В статье рассматривается информационная, коммуникативная и образовательная роль интернета в жизни дальневосточных старообрядцев.
Статистика статьи
Статистика просмотров за 2026 год.
Издательство
- Регион
- Россия, Москва
- Почтовый адрес
- 105066, город Москва, Спартаковская ул., д.19 стр.3
- Юр. адрес
- 105066, город Москва, Спартаковская ул., д.19 стр.3
- ФИО
- Чапкин Сергей Валерьевич (Президент Фонда)
- Контактный телефон
- +7 (495) 2467999