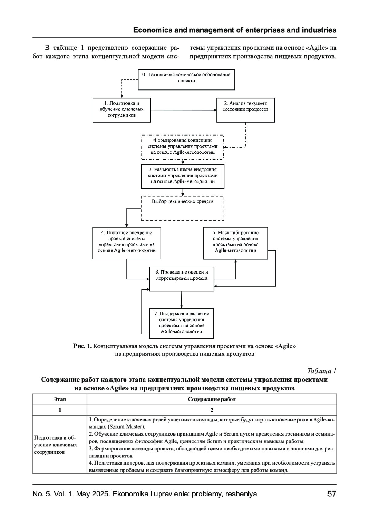
Статья посвящена совершенствованию системы управления проектами на основе «Agile» на предприятиях производства пищевых продуктов. В ней представлена концептуальная модель системы управления проектами на основе «Agile», которая адаптирована к условиям предприятий производства пищевых продуктов, отличающаяся от существующих разработанных моделей введением новой роли (специалист по качеству; Quality Specialist) и новых дополнительных процессов Scrum-методологии («Ретроспектива Продукта» и «Перспективное планирование») в методику управления проектами. Внедрение новых положений в модель управления проектами на основе «Agile» позволит определенно существенно снизить риски, связанные с длительными сроками разработки и возможным несоответствием конечного продукта требованиям рынка.
Идентификаторы и классификаторы
- SCI
- Экономика
В условиях динамично меняющегося рынка и высокой конкуренции предприятия пищевой промышленности сталкиваются с необходимостью адаптировать свои процессы управления проектами.
Если у вас возникли вопросы или появились предложения по содержанию статьи, пожалуйста, направляйте их в рамках данной темы.
Список литературы
1. Адырхаева Г. Д. Инновационная активность предприятий пищевой промышленности // Проблемы развития предприятий: теория и практика: материалы 13-й Междунар. науч.-практ. конф. Самара, 2020. С. 71-73.
2. Акопян С. А. Управление проектами по принципам системы Agile. Scrum как один из методов управления проектами, основанный на Agile // Economics. 2017. № 2 (23). URL: https://cyberleninka.ru/article/n/upravlenie-proektami-po-printsipam-sistemy-agile-scrum-kak-odin-iz-metodov-upravleniya-proektami-osnovannyy-na-agile (дата обращения: 22.03.2025).
3. Agile для всех. СПб.: Питер, 2019. 240 с.
4. Буханов В. О., Газарян Г. С. Применение Agile - разработки программного обеспечения к процессам управления на пищевых производствах // Экономика: вчера, сегодня, завтра. 2023. Том 13. № 3А. С. 594-602. EDN: WNFLPK
5. Васильева А. Д., Буторин А. А., Котегова Л. А. Технология управления проектами на основе методологии Agile // Вестник Алтайской академии экономики и права. 2021. № 1-2. С. 118-124. EDN: AALYOA
6. Горбков Д. И., Любина О. Н., Филатов В. В. Теоретические подходы к типологизации управления изменениями в программах и проектах // Коммерция и сервис: проблемы и перспективы развития: сборник материалов по итогам всерос. конкурса на лучшую научно-исследовательскую работу студентов. 2021. С. 102-106. EDN: KQLZHU
7. Винтайкина О. А. Традиционный подход или Agile в современном проектном управлении? Сравнительный анализ // Скиф. 2019. № 4 (32). URL: https://cyberleninka.ru/article/n/traditsionnyy-podhod-ili-agile-v-sovremennom-proektnom-upravlenii-sravnitelnyy-analiz (дата обращения: 05.12.2024).
8. Удальцова Н. Л. Опыт применения Agile-технологий российскими компаниями // Экономика, предпринимательство и право. 2024. Том 14. № 9. С. 5291-5304. EDN: CYBPLG
9. Удовиченко А. С. Устойчивое развитие при отказе от приоритета климатических целей: экономика замкнутого цикла и цифровизация // Информатизация в цифровой экономике. 2024. № 4. С. 613-632. DOI: 10.18334/ide.5.4.122550 EDN: DNNUVM
10. Чуланова О. Л., Глухова Т. Ю. Исследование реализации проектного управления с использованием методологии гибкого управления проектами на основе ценностей Agile // Вестник Евразийской науки, 2019. № 4. URL: https://esj.today/PDF/15ECVN419.pdf (доступ свободный). Загл. с экрана. Яз. рус., англ.
Выпуск
Другие статьи выпуска
В условиях динамично изменяющейся внешней среды и высокой конкуренции маркетинг становится ключевым инструментом обеспечения устойчивого развития хозяйствующих субъектов. Настоящая статья посвящена исследованию маркетинга на рынках товаров и услуг с акцентом на разработку и реализацию маркетинговых стратегий. Целью работы является анализ актуальных подходов к формированию маркетинговых стратегий, а также изучение специфики маркетинговой деятельности различных типов хозяйствующих субъектов - от малого бизнеса до крупных корпораций. В статье рассматриваются основные элементы стратегического маркетинга, включая сегментирование рынка, позиционирование, выбор целевых аудиторий и формирование конкурентных преимуществ. Особое внимание уделено интеграции цифровых технологий в маркетинговую деятельность, что особенно актуально в контексте трансформации потребительского поведения. Также анализируются реальные примеры эффективного применения маркетинговых стратегий на различных этапах жизненного цикла товара и в разных отраслях. На основе проведённого анализа предложены рекомендации по повышению эффективности маркетинга в современных условиях, включая необходимость адаптации стратегий под региональные особенности рынка, использование инструментов цифровой аналитики и формирование устойчивых коммуникаций с потребителями. Результаты исследования могут быть полезны как для научного сообщества, так и для практиков, занимающихся разработкой и реализацией маркетинговых решений в сфере товаров и услуг.
В статье рассматривается проблема оптимального дизайна для цифрового пространства отраслевых решений. Предприятия сельскохозяйственной отрасли имеют низкий уровень проникновения цифровых сервисов в инфраструктуру компаний. Рынок программного обеспечения для сельскохозяйственной отрасли не может рассчитывать на опережающий спрос и высокую востребованность специализированных цифровых сервисов и инструментов. В статье рассмотрены преимущества платформенного подхода для организации доступа к отраслевым цифровым продуктам, выявлены тренды в цифровизации сельского хозяйства и проведена оценка перспектив вывода на рынок новых решений в категориях. Результаты анализа позволяют определить вектор развития цифрового пространства компаний сельхозиндустрии и точки роста цифровой зрелости предприятий АПК. Главным преимуществом платформенного доступа станет выравнивание темпов цифровой трансформации различных субъектов хозяйствования и увеличение вовлеченности отечественных IT-компаний в разработку цифровых решений для сельского хозяйства.
Статья посвящена анализу современных тенденций цифровой трансформации сельского хозяйства в Российской Федерации. Целью исследования является анализ направлений, технологий и эффектов цифровизации аграрного сектора с акцентом на повышение производственной эффективности, устойчивости и конкурентоспособности сельскохозяйственных предприятий. В работе использованы методы теоретического обобщения и сравнительного анализа научной литературы, рассмотрены практические кейсы применения цифровых решений. Авторы обобщают теоретико-методологические подходы к цифровизации, рассматривают основные технологические инструменты - облачные платформы, системы искусственного интеллекта, большие данные, дроны и роботизированные системы - и анализируют их влияние на аграрное производство. В результате исследования установлено, что цифровая трансформация обеспечивает рост урожайности, снижение издержек, оптимизацию трудозатрат, адаптацию к климатическим рискам и повышение инвестиционной привлекательности предприятий. Наряду с этим выявлены существующие проблемы цифровизации, связанные с инфраструктурными, кадровыми и финансовыми ограничениями. Работа имеет практическую значимость для формирования стратегий цифрового развития АПК и рекомендуется для ученых, менеджеров и представителей органов власти. Особенность исследования заключается в подходе к оценке как технологических решений, так и институциональных условий цифровой трансформации сельского хозяйства.
Целью проводимого исследования является формирование классификационных групп поведенческих факторов, присущих участникам российского финансового рынка. Предметом исследования является теоретическая концепция в области поведенческих финансов. В ходе исследования был проведен анализ научных работ в области поведенческой экономики, произведена классификация и приведены характеристические особенности каждого фактора, влияющего на поведение участников финансового рынка, в том числе на принятие ими решения, а также выявление методологических особенностей оценки данных факторов. В результате проведенного исследования были сформированы такие классификационные группы поведенческих факторов, как эмоциональные, когнитивные искажения, социальные факторы, культурные и национальные особенности. Заключительная засть статьи описывает ряд ключевых особенности методов оценки поведенческих факторов на финансовом рынке. Новые исследования в области поведенческих финансов находят применение в различных сферах, таких как финансовые консультирование, управление инвестициями и разработка финансовых продуктов. Основным направлением исследования в области поведенческих финансов служат когнитивные искажения, к которым относятся эвристики, ограниченная рациональность, фрейминг, а также архитектура выбора.
Функционирование территориальной единицы в качестве составного элемента региональной экономической системы представляет собой комплексное явление, обусловленное множеством взаимосвязанных факторов. Для реализации стратегических задач в области социального и экономического развития территории осуществляется целый комплекс взаимообусловленных действий. Среди первостепенных направлений деятельности особое значение приобретают системное наблюдение и всесторонний анализ ключевых индикаторов и определяющих факторов социально-экономического благополучия регионов. Именно тщательность и масштабность такого исследования создает основу для своевременной разработки действенных рекомендаций и мер государственной поддержки, а также, что особенно важно, принятия обоснованных и своевременных управленческих решений, ориентированных на качественное совершенствование социальной и экономической сфер региона. Представленное исследование фокусируется на рассмотрении основных показателей, применяемых в процессе мониторинга и оценки социально-экономического развития территориальных образований. В работе проведен обстоятельный анализ научных концепций различных исследователей относительно определения ключевых факторов, влияющих на социально-экономическое развитие региона. В ходе исследования определены главные инструменты, обеспечивающие результативное региональное развитие. Особое внимание уделено выявлению проблематики в социальной и экономической сферах Самарской области, а также предложены конкретные меры по их преодолению.
В статье рассматривается система показателей, характеризующих результативность применения форм и инструментов государственной поддержки субъектов малого и среднего предпринимательства, сложившаяся на региональном уровне. Особое место в системе государственной поддержки отводится финансовым инструментам, формируемым субъектами Российской Федерации преимущественно за счет регионального бюджета. В частности, исследован опыт реализации региональной финансовой поддержки субъектов малого и среднего предпринимательства в Московской области, сложившийся в последние годы.
Данная статья посвящена анализу проблем и оценки перспектив развития металлообрабатывающей промышленности на территории Республики Крым. Актуальность темы обусловлена сырьевым потенциалом Республики Крым, а также повышенным спросом на конечный продукт металлообработки на внутреннем рынке. В статье были использованы методы литературного анализа и статистических данных, с помощью которых была получена информация о крупных предприятиях металлообрабатывающей промышленности Республики Крым и Российской Федерации в целом. Развитие металлообрабатывающей промышленности продолжается и сегодня, что связано с широкой сырьевой базой на территории РФ и экспортно-ориентированной экономической моделью.
В данной статье проведен анализ текущего состояния внешней торговли Китая, результаты которого позволили определить ее положительную тенденцию, а также выявить замедление темпов роста товарооборота. Также в статье определены причины такого снижения активности внешней торговли Китая со странами - партнерами. Проведено исследование внешнеторговых связей Китая, представлены ключевые внешнеторговые партнеры, а также товарооборот между ними. Выявлены особенности развития внешнеторговых связей Китая в настоящее время, представлены принципы функционирования внешнеэкономической деятельности Китая в целом. Цель исследования заключается в изучении особенностей построения системы внешнеторговых связей Китая в современных условиях.
В ходе анализа представлены разнонаправленные динамики импортной деятельность стран-членов ЕС, в период с 1 квартала 2022 по 1 квартал 2025 года, относительно иных государств мира. Определены агроимпортные товарные группы, которые фиксируют рост или падение. Обозначено, как изменился «агроимпортный ландшафт» стран партнеров ЕС в мире, что способствовало смене лидеров за этот период и какие меры предпринял ЕС для переориентации своих импортных агропродовольственных товарных потоков с иных континентов или географических ареалов внешнеторгового закупа. Автором представлено, за счет каких мер удалось перенастроить смену импортного курса с рынков закупа классических партнеров (например, России) на новые государства (ранее не входившие в топ основных партнеров экспортеров на европейский рынок потребления продовольственной продукции). Анализ демонстрирует, какие товарные группы остались незыблемы и показали существенный рост в торговом балансе с классическими странами, ранее основными партнёрами ЕС. Фокус исследования акцентирован на период экономических ограничений ЕС в отношении России, прямой формы геополитических противоречий в черноморском регионе как доноре сельскохозяйственного сырья на мировые рынки, а также фиксирует важные снисходящие экспортные тренды с Китаем и динамичный внешнеторговый рост с рядом государств западной Африки (Нигерия, Кот-д`Вуар и др.).
Статья представляет обзор современного состояния и динамики международной торговли аграрными товарами. Рассматриваются особенности развития сельского хозяйства в национальной экономике, включая состав, структуру отрасли, а также ее роль и значение для экономики России. Анализируется текущее состояние внешней торговли сельскохозяйственной продукцией, выделяются основные проблемы развития внешней торговли сельскохозяйственной продукцией, такие как санкции, логистика, качество продукции и конкуренция на международных рынках. В статье выделяются перспективные направления развития внешней торговли, включая расширение рынков сбыта. Особое внимание уделяется необходимости улучшения качества продукции, продвижения ее на международных рынках и сотрудничества с международными партнерами.
В работе исследуется проблема научной проработанности понятия и сущности стратегического планирования, а также его значимости для решения национальных задач. Проведен аналитический обзор основных концепций различных научных школ в области стратегического планирования, определены его основные характеристики и качественные показатели, такие как: ориентация на желаемое развитие, целенаправленное влияние, активизация конкурентных преимуществ, консолидация политики всех сторон, вовлечение ресурсов, внешние и внешние факторы, противодействие вызовам и угрозам. Эти аспекты поднимают государственное экономическое регулирование на новый уровень, предотвращая дестабилизацию рынка. На основе обобщения наиболее известных научных определений установлено, что стратегическое планирование представляет собой процесс обоснования желаемого состояния национальной экономики и перехода к ней с использованием участниками стратегирования методов целенаправленного воздействия на объекты планирования. Обращается внимание на то, что развитые страны используют инструменты планирования для создания условий, которые предусматривают развитие промышленности и экономики в целом. Механизмы стратегического планирования не только снижают риски, но и эффективно управляют экономическим ростом. Сегодня это особенно актуально для нашей страны в сфере обеспечения продовольственной безопасности, где Доктрина ставит принципиально новые задачи по достижению физической и экономической доступности продукции на уровне рациональных норм потребления.
Энергосбережение в зданиях - это технология, которая отражает прогресс страны и является важным символом ее развития. Использование новой энергии является важной частью достижения устойчивого развития зданий. В данной статье анализируется и обсуждается энергосбережение зданий, а также продвижение и применение технологий солнечной энергетики в строительстве. Энергосбережение в зданиях стало серьезной проблемой, вызывающей все большую озабоченность. Современное общество крайне обеспокоено энергопотреблением строительных объектов и долгосрочным энергопотреблением зданий в процессе эксплуатации. Поэтому необходимо содействовать применению технологий солнечной энергетики в строительстве, исходя из требований энергосбережения при проектировании зданий.
Целью настоящей статьи является анализ роли данных как стратегического ресурса в процессе организационной трансформации в условиях цифровизации, а также выявление ключевых факторов, способствующих успешному переходу к управлению на основе данных (data-driven management). В статье рассмотрены теоретические основы цифровизации и концепции data-driven organization (DDO). Опираясь на существующие исследования, описаны концепция цифровой трансформации и особенности data-driven организации. Проанализированы трансформационные изменения в структурах, процессах и культуре организаций, обусловленные усилением роли данных. Рассмотрены изменения в бизнес-моделях, управлении, структуре и культуре, вызванные цифровыми технологиями и ростом объема данных. Исследованы механизмы интеграции данных в стратегическое управление и процессы принятия решений. Подробно раскрыт процесс признания данных как стратегического ресурса, в том числе в контексте теорий Гранта и Минцберга. Также обсуждается, как данные становятся основой для создания ценности и конкурентного преимущества. Определены основные вызовы и барьеры, с которыми сталкиваются организации при переходе к модели, ориентированной на данные. Особенно подчёркиваются проблемы малых и средних предприятий: ограниченность ресурсов, дефицит знаний, сложность изменений в организационной культуре и т. д. Сформулированы рекомендации по развитию data-driven-подхода с учётом организационных особенностей и уровня цифровой зрелости. Предложены первые принципы (осознание ценности данных и их стратегическая роль), а также альтернативные пути трансформации - через партнёрство с университетами, наставничество, постепенное развитие компетенций.
В статье рассматривается интеллектуальная трансформация как этап цифровой эволюции, основанный на интеграции искусственного интеллекта, машинного обучения и аналитики данных в производственные процессы для повышения адаптивности и стратегической устойчивости бизнеса. Раскрывается переход к управлению, основанному на когнитивных и алгоритмических моделях, обеспечивающий автономное функционирование организаций за счёт интеллектуальной обработки данных. Выявлено различие между цифровизацией и интеллектуальной трансформацией, создающей новые управленческие модели на основе искусственного интеллекта. Интеллектуальная трансформация обеспечивает переход от цифровой автоматизации к самоуправляемым и адаптивным системам, способным повышать устойчивость и конкурентоспособность в условиях глобальных вызовов. Ключевые компоненты интеллектуальной трансформации, аналитика больших данных, когнитивные алгоритмы, цифровые двойники и адаптивные системы, представлены основой построения интеллектуально активной организации, ориентированной на автоматизацию и предиктивное управление в условиях многопараметрической неопределённости. Интеллектуальная оптимизация бизнес-процессов резюмируется как инструмент повышения операционной эффективности и фактор стратегического развития, способствующий формированию инновационно-активных организационных моделей.
Промышленное строительство остается основным фактором глобального потребления энергии и истощения ресурсов: необходимость повышения «энергоэффективности» в этом секторе выходит за рамки простого снижения затрат, позиционируя себя как основополагающий элемент устойчивого экономического роста и экологической стабильности - отсюда необходимость смены методологической парадигмы в оптимизации использования энергии в промышленных инфраструктурах. Данное исследование направлено на разработку интегрированной структуры для повышения энергоэффективности в промышленном строительстве путем синтеза передового прогностического моделирования, “многопараметрических оценочных показателей” и адаптивных систем управления энергопотреблением на основе искусственного интеллекта - таким образом, создается масштабируемая и передаваемая методология. Использовалось сочетание анализа эмпирических данных, вычислительного моделирования и статистической проверки - ключевые параметры, такие как «коэффициенты теплопроводности», «эффективность оболочки здания» и «модели перераспределения энергии», оценивались в промышленных приложениях в режиме реального времени; регрессионные модели и корреляционные матрицы применялись для проверки соответствия наблюдаемых тенденций теоретическим эталонам. Интеграция “алгоритмов распределения энергии с поддержкой искусственного интеллекта” продемонстрировала беспрецедентную оптимизацию энергопотребления - в производственных зонах с высокой интенсивностью было достигнуто сокращение теплопотерь до 27%, а общее повышение энергоэффективности достигло 19,6% в нескольких тематических исследованиях; анализ экономической целесообразности подтвердил средний срок окупаемости в 4,8 года, что подтверждает практичность внедрения в различных промышленных масштабах. Предложенный методологический подход выходит за рамки непосредственного промышленного применения - его адаптируемость к смежным технологическим секторам, включая “высокоэффективное производство” и “крупномасштабные инфраструктурные проекты”, подчеркивает его трансдисциплинарный потенциал; эмпирическое подтверждение оптимизированных ИИ стратегий энергосбережения предлагает воспроизводимую модель для интеграции в национальные и международные нормативные базы, обеспечивая соответствие жестким экологическим стандартам при сохранении экономической жизнеспособности. Исследование подчеркивает необходимость постоянного совершенствования алгоритмов - будущая работа должна быть направлена на создание «самооптимизирующихся систем», способных в реальном времени перестраиваться в зависимости от колебаний спроса на энергию, преодолевая разрыв между теоретическим моделированием эффективности и развивающимися промышленными условиями.
По мере того, как процесс судебной реформы в России продолжает развиваться, осведомленность граждан о своих правах постепенно повышается, а спрос общественности на юридические услуги стремительно растет. Экспертные юридические заключения как форма участия третьей стороны в судебном разбирательстве широко распространены в судебной практике и привлекают большой интерес и внимание со стороны средств массовой информации, особенно в некоторых спорных делах, где часто появляются «экспертные аргументы и заключения». В данной статье рассматривается судебная практика в качестве точки зрения для краткого обсуждения нескольких основных аспектов, включая характеристику экспертных юридических заключений; как правильно их применять, обеспечивая при этом независимость судебной системы; и как построить оперативную систему экспертных консультаций.
В статье рассматривается проблема формирования адаптивных закупочных стратегий в условиях валютной нестабильности с акцентом на теоретические основы данного подхода. Основное внимание уделяется концептуальному анализу механизмов адаптации закупочной деятельности к валютным рискам, рассмотрению существующих научных подходов и моделей в области управления цепочками поставок и риска. Исследование опирается на методы системного анализа, сравнительного изучения теоретических источников и типологии стратегий адаптивности. Выявлены ключевые элементы эффективных закупочных стратегий в условиях внешнеэкономической нестабильности, раскрыта роль цифровизации, партнёрств и организационных трансформаций в повышении устойчивости закупок. Работа носит преимущественно теоретико-методологический характер и служит основой для дальнейших прикладных исследований и разработок.
Статья посвящена влиянию организационной культуры и человеческого фактора на адаптивность проектного управления в условиях неопределённости. На основе анализа исследований 2020-2024 гг. показано, что soft skills, лидерство, доверие и коммуникация усиливают устойчивость проектов. Подчёркивается, что без учёта культурных и поведенческих аспектов технические подходы теряют эффективность. Предложена модель интеграции человеческого фактора для повышения гибкости и результативности проектной деятельности.
Цель исследования - раскрыть роль и значение математических методов в современной экономической теории и практике. Задачи исследования включали анализ применения математического моделирования, статистических методов, эконометрики и других математических инструментов в различных областях экономики. В результате исследования выявлено, что математика позволяет формализовать экономические процессы, строить прогнозы, оптимизировать решения и проводить количественный анализ экономических явлений. Практическая значимость исследования заключается в демонстрации необходимости математической подготовки для специалистов в области экономики и финансов, а также в обосновании применения математических методов для повышения эффективности экономических решений.
Статистика статьи
Статистика просмотров за 2025 - 2026 год.
Издательство
- Издательство
- ИД НБ
- Регион
- Россия, Москва
- Почтовый адрес
- 123022, г. Москва, шоссе Звенигородское, дом 5, строение 1
- Юр. адрес
- 123022, г. Москва, шоссе Звенигородское, дом 5, строение 1
- ФИО
- Дерновой Владимир Борисович (Генеральный директор)
- E-mail адрес
- idnb11@yandex.ru
- Контактный телефон
- +7 (915) 0877376