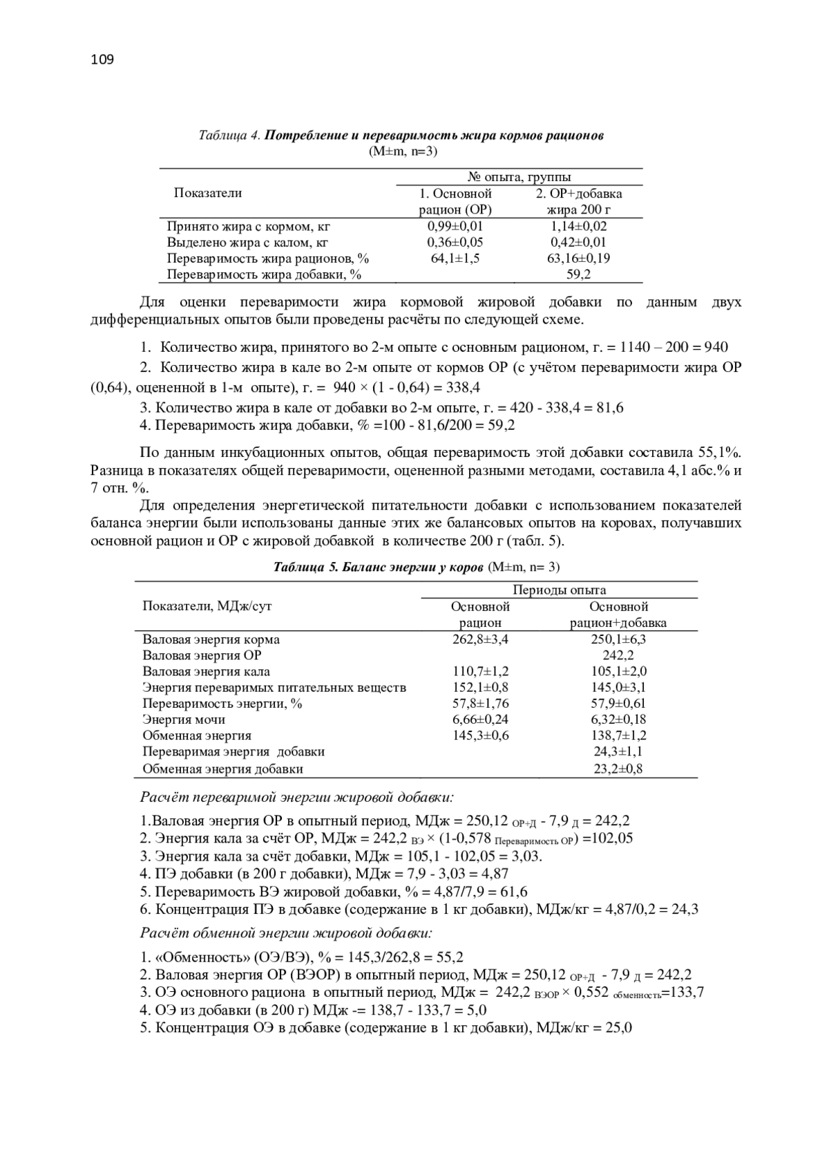
Цель работы – сравнение двух методов оценки питательности кормов и жировых добавок при нормировании питания высокопродуктивного молочного скота: 1) инкубирование in sacco в рубце и метод мобильных мешочков в кишечнике, и 2) определение переваримости и усвояемости энергии кормового жира на основании дифференциальных балансовых опытах на коровах. Изучение переваримости липидов в рубце и кишечнике показало, что липиды исследованных кормов на 60-86% подвергались перевариванию в рубце и только от 4,3 до 16% липидов корма переваривалось в кишечнике. Установлено, что в сравнении с грубыми кормами, переваримость жира в рубце и в кишечнике выше у зерновых кормов и шротов. Изучение переваримости коммерческих «защищенных» кормовых жиров с использованием двух методов показало, что только небольшая часть исследованных образцов обладают необходимыми характеристиками для этого класса кормовых средств. Результаты определения переваримости, оцененные в опытах на оперированных животных и полученные расчётным путём, существенно не различались.. Разница в показателях общей переваримости жировой добавки, оцененной разными методами, составила 4,1 абс.% и 7 отн.%. Заключили, что оценку питательной и энергетической ценности можно проводить и инкубационным методом, и путём проведения балансовых опытов.
Идентификаторы и классификаторы
- SCI
- Биология
Использование жировых добавок или кормов с высоким содержанием жира в кормлении высокопродуктивных молочных коров широко распространено, но ограничивается рядом негативных моментов (Харитонов, 2010). Обычные проблемы – снижение аппетита и потребления корма, нарушение рубцовой ферментации, жировая инфильтрация печени и снижение жирномолочности.
Если у вас возникли вопросы или появились предложения по содержанию статьи, пожалуйста, направляйте их в рамках данной темы.
Список литературы
1. Материкин А.М., Харитонов Е.Л. Определение растворимости, распадаемости и переваримости протеина кормов. // В кн.: Методы исследования питания сельскохозяйственных животных. Под редакцией Б.Д. Кальницкого. Боровск, 1998. С. 132-140.
2. Харитонов Е.Л. Оптимизация питания высокопродуктивных молочных коров. // В сб.: Материалы III научно-практической конференции “Перспективные направления в производстве и использовании комбикормов и балансирующих добавок”. Боровск: ВНИИФБиП, 2003. С. 18-19.
3. Харитонов Е.Л., Материкин А.М., Мысник Н.Д. Переваривание протеина в кишечнике жвачных животных. // В сб.: Современные проблемы биотехнологии и биологии продуктивных животных. сборник научных статей. Боровск: ВНИИФБиП, 1999. С. 330-343.
4. Харитонов Е.Л., Погосян Д.Г. К методике определения переваримости сырого протеина кормов. // Бюллетень ВИИФБиП.1992. № 1. С. 66-70.
5. Харитонов Е.Л. Научно-производственная проверка эффективности нормирования питания высокопродуктивных молочных коров с использованием новых принципов оценки питательности кормов и рационов. // Проблемы биологии продуктивных животных. 2010. № 1. С. 55-60.
6. Харитонов Е.Л. Методические и инструментальные подходы к изучению физиологических и биохимических процессов образования конечных продуктов переваривания у продуктивных жвачных животных. // Проблемы биологии продуктивных животных. 2008. № 4. С. 42-71.
7. Andrews R.J., Levis, D. The utilization of dietary fats by ruminants. I. The digestibility of some commercially available fats. // J. Agric. Sci. 1970a. Vol. 75. P. 47-54.
8. Andrews R.J., Levis D. The utilization of dietary fats’ by ruminants. II. The effect of fatty acid chain length and unsaturation on digestibility. // J. Agric. Sci. 1970b. Vol. 75. P. 55-60.
9. Baldwin R.L., Thornley J.H.M., Beever D.E. Metabolism of the lactating cow. II. Digestive elememts of a mechanistic model. // J. Dairy Res. 1987. 54: 107-131.
10. Clapperttone J.L. Effect of concentrates with beef tallow on food intake and milk production of cоws fed grass silage. // J. Dairy Sci. 1983. Vol. 66. P. 1032-1038.
11. Palmquist D.L., Jenkins T.C. Fat in lactation rations: a rewiev. // J. Dairy Sci. 1980. Vol. 63. P. 1-14.
12. Voigt J., Piatkowsky B., Engelmann M. et.al. Measurement of the postruminal digestibility of crude protein by the bag technique in cows. // Arch. Tierernahr. 1985. Vol. 35. nr 8. P. 555-562.
Выпуск
Другие статьи выпуска
Жирнокислотный состав животноводческой продукции оказывает большое влияние на её качество; в частности, жирные кислоты подкожного жира в значительной степени определяют пищевую и технологическую ценность продуктов из свинины Целью данной работы было исследование проявлений устойчивости и вариабельности взаимосвязей жирнокислотного состава и содержания общих липидов в подкожной жировой ткани у свиней. В течение 3-х лет проводились опыты на свиньях в периоды доращивания и откорма, по обобщённым результатам которых установлены закономерные связи между процентным содержанием индивидуальных жирных кислот и количеством общих липидов в подкожном жире в период откорма. В частности, для четырёх основных жирных кислот: FAΣ = -20,5 + 1,13 × TL (P<0.001); C16 = -6,11 + 0,28 × TL (P<0.001); C18 = -2,63 + 0,17 × TL (P<0.001); C18:1 = -13,2 + 0,56 × TL (P<0.001); C18:2 = 0,28 + 0,06 × TL (P<0.001), где: FAΣ – содержание суммы жирных кислот, г/100 г общих липидов; TL – содержание общих липидов в подкожном жире, г/100 г ткани; C16-C18:2 – содержание индивидуальных жирных кислот, % от суммы ЖК. В дальнейшем предполагается изучить возможности данного способа анализа при исследовании жирнокислотного состава подкожного жира, в том числе для экспрессного анализа его качества.
Целью работы было изучение физиологического состояния, формирования колострального иммунитета и неспецифической резистентности у новорождённых телят, полученных от коров, которым в предотельный период было произведено однократно парентеральное введение раствора нуклеината натрия (НН). Опыт выполнен в осенне-зимний период, объекты исследования – 10 глубокостельных коров чёрно-пестрой породы и полученные от них телята. Коровам опытной группы за 3-9 дней перед отёлом вводили 0,2%-й водный раствор НН в дозе 5 мл внутримышечно, однократно. Коровам контрольной группы вводили 0,9%-ый раствор натрия хлорида в дозе 5 мл внутримышечно, однократно. Определяли уровень общих иммуноглобулинов и титруемую кислотность молозива 1-го и 5-го удоя у коров контрольной и опытной групп, у телят на 2-е и 10-е сутки жизни исследовали клеточный и биохимический состав крови. У новорождённых телят измеряли температуру тела, пульс, частоту дыхательных движений на 2-е, 10-е и 30-е сутки жизни, фиксировали время появления сосательного рефлекса и уверенной позы стояния. Применение 0,2%-го раствора НН глубокостельным коровам способствовало повышенному выделению в составе молозива иммуногенных факторов и повышению титруемой кислотности молозива. В крови новорождённых телят опытной группы отмечено повышение в сравнении с контролем уровня лейкоцитов, общего белка, гамма-глобулинов, альбуминов, а также бета-глобулинов на протяжении всего периода исследования. Показатели бактерицидной и лизоцимной активности сыворотки крови, фагоцитарной активности нейтрофилов и фагоцитарного индекса были выше в опытной группе (P<0.05). Телята, родившиеся от коров опытной группы, росли более крепкими и активными, среднесуточный прирост ЖМ за 4 месяца выращивания был выше в опытной группе. Заключили, что однократное парентеральное введение стельным коровам водного раствора НН за 3-9 дней до отёла оказывает положительное влияние на физиологическое состояние, формирование колострального иммунитета и становление неспецифической резистентности у новорождённых телят.
Рутинное использование результатов генотипирования по ДНК-маркерам регламентировано Приказом МСХ Российской Федерации в 2021 г. и осуществляется в ряде племенных свиноводческих предприятий. Одними из наиболее востребованных в практической работе являются ДНК-маркеры генов ESR1 (оказывает влияние на репродуктивные признаки свиней) и IGF2 (ген инсулиноподобного фактора роста – 2, ассоциированный с мясными и откормочными качествами свиней). Оптимизация тест-систем и диагностикумов в части снижения себестоимости и трудоемкости, а также повышения точности за счет нивелирования фактора субъективности характеризуется практической значимостью. Прогресс, достигнутый за последние десятилетия в области детекции полиморфизмов, позволяет использовать альтернативные методы идентификации генетических вариантов. Одним из таких методов является ПЦР с детекцией результатов в режиме реального времени (ПЦР-РВ), который авторы использовали при разработке тест-систем анализа полиморфизма генов ESR и IGF2. В данной статье изложены принципы создания тест-систем детекции полиморфизма вышеизложенных генов методом ПЦР-РВ, причем дизайн системы предусматривает амплификацию и генотипирование ДНК как симплексном, так и в мультиплексном режиме, и продемонстрированы результаты генотипирования с их использованием. Предложенные тест-системы предусматривают использование реактивов отечественных производителей, позволяют снизить временные и материальные затраты, повысить точность генотипирования. Сопоставление результатов исследований с использованием разработанной тест-системы и полученных посредством использования традиционных методов генотипирования (ПЦР-ПДРФ) продемонстрировали 100% совпадение. Таким образом, предложенные тест-системы детекции полиморфизма генов ESR1 и IGF2 методом ПЦР-РВ могут быть с успехом использованы для генотипирования свиней различных пород.
Цель работы – систематизация концептуальных и методических аспектов использования новых информационных технологий в животноводстве, в том числе в плане развития теории и практики донозологического мониторинга физиологических функций и раннего прогнозирования жизнеспособности высокопродуктивных коров. Рассмотрены основные составляющие новых IT в животноводстве – технологии сбора, передачи и хранения данных, использование технологий Big Data в системах физиологического мониторинга, когнитивные технологии, моделирование продукционных процессов. Проанализированы открывающиеся перспективы для оценки и прогнозировании жизнеспособности высокопродуктивных животных. Новые технические средства для сбора физиологически значимой информации позволяют кардинально увеличить объём измерительных данных, получаемых на всей субпоуляции и на протяжении всей жизни животного, что резко повышает возможности для мониторинга, диагностики и оптимизации сложных многофакторных продукционных процессов. Новизна этого подхода состоит в переносе акцентов от борьбы с «болезнями продуктивности» к вопросам их профилактики на основе исключения факторов риска на всех этапах онтогенеза, создания адаптивных систем кормления, внедрения новых методов медицинской интроскопии, дистанционной диагностики и физиологического мониторинга, а также поддержания комфортных условий (welfare) эксплуатации высокопродуктивных животных. Для успешного применения BD-технологий большое значение имеет наличие развитой «аналитики» (статистического анализа, вычислительного моделирования т. д.), поэтому на первых этапах критическим фактором обычно бывает дефицит подготовленных профильных специалистов. Требованием времени стал заказ на организацию системы «Зоофизтеха», по аналогии с существующими в области земледелия/растениеводства институтами агрофизического профиля. В конечном счёте, целью разведения и воспроизводства молочного скота должно быть получение популяций высокоудойных коров со сбалансированным соотношением объёма вымени и функциональных резервов висцеральных систем, обеспечивающим оптимальный уровень синтеза компонентов молока, исключающим возникновение метаболических дисфункций и снижение качества молочной продукции.
Проблема повышения эффективности мясного скотоводства на современном этапе в значительной мере решается на пути совершенствования технологий кормления животных, в частности, за счёт применения биологически активных добавок для повышения эффективности использования кормов. Одним из важнейших факторов повышения мясной продуктивности является оптимизация протеинового питания животных. Белковый обмен является неотъемлемой частью азотистого обмена. Мочевина и аммиак – конечные продукты азотистого обмена, а уровень интермедиатов цикла мочевины (орнитинового цикла) можно регулировать, водействуя на активность ключевых ферментов цикла. N-карбамоилглутамат (NКГ) - неметаболизируемый аналог N-ацетилглутамата, аллостерического активатора первой ферментативной реакции цикла мочевины, является эффективным агонистом и регулятором карбамоилфосфатсинтетазы. Применение кормовой добавки NКГ обеспечивает более полную конверсию азота мочевины и аммиака в эндогенный белок и повышает мясную продуктивность сельскохозяйственных животных, что подтверждено многочисленными работами зарубежных и отечественных ученых. Цель обзора – систематизировать данные о влияние кормовой добавки NКГ воспроизводительную функцию, мясную и молочную продуктивность животных, особенно КРС. В разделах обзора рассмотрены основные направления действия NКГ: 1) активность цикла мочевины; 2) продуктивность животных; 3) рубцовое пищеварения 4) состав и функциональную активность микробиоты рубца у жвачных животных. Сделан вывод о необходимости детальных исследований влияния добавок NКГ на продуктивно-хозяйственные признаки и физиолого-биохимические показатели у жвачных животных, выращиваемых в условиях, характерных для нашей страны,
В последние годы выявлен ряд новых функций незаменимых аминокислот с алифатическими разветвлёнными цепями (АРЦ) при различных состояниях организма у животных и человека. Эти аминокислоты участвуют в регуляции метаболизма не только белков, но также липидов и углеводов, поддерживают здоровье молочных желез и кишечника, повышают качество молока и помогают в ранней имплантации и развитии эмбрионов. АРЦ (особенно лейцин) повышают синтез белков, и в настоящее время они рассматриваются как кормовые добавки для улучшения мясной продуктивности и качества мяса при выращивании и откорме свиней. Основные разделы обзора: метаболические функции лейцина, изолейцина и валина; метаболизм АРЦ; функции АРЦ как сигнальных молекул; значение АРЦ в питании животных. Новые аспекты метаболических и регуляторных функций АРЦ включают в себя ряд закономерностей: 1) недостаточный или чрезмерный уровень их в рационе усиливает липолиз; 2) эти аминокислоты, особенно изолейцин, играют важную роль в утилизации глюкозы за счет активации транспортёров глюкозы в кишечнике и мышцах; 3) эти аминокислоты усиливают развитие кишечника, транспорт аминокислот в кишечнике и производство муцина; 4) лейцин, изолейцин и валин участвуют в регуляции врождённых и адаптивных иммунных ответов. В ближайшей перспективе использование высокопроизводительной функциональной геномики, метаболомики и протеомики позволит в большей мере раскрыть функции АРЦ в экспрессии генов, синтезе белков и регуляции метаболизма.
В последние годы прогресс в области микробиологии и генной инженерии создал предпосылки для создания широкого спектра ферментных препаратов (ФП) для использования в животноводстве. Перспективность этого направления несомненна, однако на пути к получению высокоактивных препаратов с заданными свойствами возникает ряд проблем методологического характера. Основная проблема заключается в том, что по результатам изучения экзогенных ферментов in vitro трудно спрогнозировать эффективность их действия в организме животного. Имеются доказательства, что это обусловлено недостаточностью имеющихся данных по составу, концентрации субстратов и их расположению в макромолекулярных комплексах кормов. Обоснованность этого предположения аргументируется в обзоре при рассмотрении особенностей действия различных ФП и их влияния на эффективность использования питательных веществ корма у моногастричных животных (свиньи, бройлеры). Основные разделы обзора: факторы, влияющие на действие карбогидраз; в кормлении животных; фитазы, протеазы, полиферментные препараты; влияние состава полиферментных препаратов на продуктивность. Экзогенные ферменты, потребляемые с кормом, вмешиваются в действие эволюционно сложившейся природной системы пищеварения и не подвержены биологической регуляции в желудочно-кишечном тракте. Под влиянием экзогенных ферментов изменяются секреция пищеварительных ферментов и микробиом кишечника, что оказывает влияние на иммунную систему. Механизмы взаимодействия экзогенных и эндогенных ферментов изучены недостаточно. По аналогии с составом природных ферментов предпринимаются попытки создания полиферментных смесей экзогенных ферментов, однако прогнозировать их действие в организме животных ещё сложнее по сравнению с моноферментными препаратами. Неустойчивость результатов использования ФП в кормлении животных в основном обусловлена уровнем знаний у разработчиков и потребителей, недостаточным для адекватного подбора ферментов с учётом изменчивости субстратного состава кормов. Поэтому принимать решение о применении ферментных препаратов целесообразно после проведения их испытаний на фоне реального состава комбикормов.
Статистика статьи
Статистика просмотров за 2026 год.
Издательство
- Издательство
- ВИЖ
- Регион
- Россия, Подольск
- Почтовый адрес
- 142132, Россия, Московская область, Городской округ Подольск, поселок Дубровицы, дом 60
- Юр. адрес
- 142132, Россия, Московская область, Городской округ Подольск, поселок Дубровицы, дом 60
- ФИО
- Зиновьева Наталия Анатольевна (Директор)
- E-mail адрес
- priemnaya-vij@mail.ru
- Контактный телефон
- +7 (496) 7651163
- Сайт
- https://www.vij.ru