1. Panov, Alexei, and Ivan Rosanoff. “D-B Mus.ms. Bach P 803, Georg Simon Löhlein, and Surroundings. Part I”. Vestnik of Saint Petersburg University. Arts 14, no. 2 (2024): 233-63. DOI: 10.21638/spbu15.2024.202 EDN: SOAQWM
2. Landshoff, Ludwig. “Bemerkungen zum Vortrag”. In Joh. Seb. Bach. Die 15 zweistimmige Inventionen und die 15 dreistimmigen Sinfonien. Beilage II. Leipzig: C. F. Peters, 1933.
3. D-B Mus.ms. Bach P 803, c1779. Staatsbibliothek zu Berlin. Digitalisierte Sammlungen. Accessed July 1, 2024. http://digital.staatsbibliothek-berlin.de/werkansicht/?PPN=PPN788472127&PHYSID=-PHYS_0002.
4. Bodky, Erwin. The Interpretation of Bach’s Keyboard Works. Cambridge, Massachusetts: Harvard University Press, 1960.
5. Wilson, Dora Jean. Georg Simon Löhlein’s Klavierschule. Translation and commentary <…>. PhD diss., The Faculty of the graduate school University of Southern California, 1979.
6. Löhlein, Georg Simon. <…> Clavier=Schule, oder kurze und gründliche Anweisung zur Melodie und Harmonie, durchgehends mit practischen Beyspielen erkläret. Dritte und verbesserte Auflage. Leipzig und Züllichau: auf Kosten der Waisenhaus= und Frommannischen Buchhandlung, 1779.
7. Donington, Robert. The Interpretation of Early Music. New York & London: W. W. Norton & Co. Inc., 1992.
8. Neumann, Frederick. Ornamentation in baroque and post-baroque music. Princeton: Princeton University Press, 1983.
9. Die Ornamentik der Musik für Tasteninstrumente. Ein Kompendium aus Originalquellen vom 16. bis zum ersten Drittel des 19. Jahrhunderts. Gesammelt und Zusammengestellt von Isolde Ahlgrimm, hrsg. von Helga Scholtz-Michelitsch. Graz: Akademische Druck- und Verlagsanstalt, 2004, Bd. 1: Deutschsprachige Quellen.
10. Palmer, Kris. Ornamentation According to C. P. E. Bach and J. J. Quantz. S. l. [Central Milton Keynes, England, UK]: AuthorHouse, [2001].
11. Quantz, Johann Joachim. <…> Versuch einer Anweisung, die Flöte traversiere zu spielen <…>. Berlin: Johann Friedrich Voss, 1752.
12. Quantz, Johann Joachim. On Playing the Flute. A Complete Translation with an Introduction and Notes by Edward R. Reilly. London: Faber and Faber, [1966].
13. Prætorius, Michael. SYNTAGMATIS MuSICI <…> Tomus TERTIuS. Wolffenbüttel: Elias Holwein, 1619.
14. Caccini, Giulio. Le Nuove Musiche <…> Firenze: G. Marescotti, 1601.
15. Bach, Carl Philipp Emanuel. Versuch über die wahre Art das Clavier zu spielen <…>. Berlin: Christian Friedrich Henning, 1753.
16. Bach, Carl Philipp Emanuel. <…> Versuch über die wahre Art das Clavier zu spielen. Zweyter Theil, in welchem die Lehre von dem Accompagnement und der freyen Fantasie abgehandelt wird. Berlin: Georg Ludewig Winter, 1762.
17. Bach, Carl Philipp Emanuel. Essay on the True Art of Playing Keyboard Instruments. Transl. and ed. by William Mitchell. New York: W. W. Norton & Co. Inc., 1949.
18. Dolmetsch, Arnold. The Interpretation of the Music of the 17th and 18th Centuries Revealed by Contemporary Evidence. <…> London: Novello and Company; New York: The H. W. Gray CO., [1915].
19. Agricola, Johann Friedrich. Anleitung zur Singkunst. Aus dem Italiänischen des Herrn Peter Franz Tosi, <…>. Berlin: Georg Ludwig Winter, 1757.
20. Marpurg, Friedrich Wilhelm. Anleitung zum Clavierspielen, der schönern Ausübung der heutigen Zeit gemäss <…>. Berlin: A. Haude und J. C. Spener, 1755.
21. Marpurg, Friedrich Wilhelm. Principes du Clavecin <…> Berlin: A. Haude und J. C. Spener, 1756.
22. Hays, Elizabeth Loretta. “F. W. Marpurg’s Anleitung zum Clavierspielen (Berlin, 1755) and Principes du Clavecin (Berlin, 1756): Translation and Commentary. (Volumes I and II)”. PhD diss., Stanford University, 1977.
23. Gerber, Ernst Ludwig. Historisch-Biographisches Lexicon der Tonkünstler, <…> Erster Theil. Leipzig: Johann Gottlob Immanuel Breitkopf, 1790.
24. Dannreuther, Edward. Musical Ornamentation. Part II. London & New York: Novello, Ewer and Co., [1895].
25. Bach, Carl Philipp Emanuel. <…> Versuch über die wahre Art das Clavier zu spielen <…> Erster Theil. Zweyte Auflage. <…> Berlin: Georg Ludewig Winter, 1759.
26. Löhlein, Georg Simon. <…> Clavier=Schule, Oder kurze und gründliche Anweisung zur Melodie und Harmonie, durchgehends mit practischen Beyspielen erkläret. Leipzig und Züllichau: auf Kosten der Waisenhaus= und Frommannischen Buchhandlung, 1765.
27. Rigler, Franz Paul. Anleitung zum Klavier für musikalische Lehrstunden, <…> Erster Theil. Wien: Joseph Edlen von Kurzböck, 1779.
28. Munkachy, Louis. “Franz Paul Rigler as Theorist and Composer”. PhD diss., University of Pittsburgh, 1968.
29. Panov, Alexei, and Ivan Rosanoff. “‘L’Ornement mystérieux’ and Mark Kroll’s Revision of the French Baroque Performance Practice”. Vestnik of Saint Petersburg University. Arts 8, no. 3 (2018): 328-55. DOI: 10.21638/11701/spbu15.2018.301 EDN: XYTIWT
30. Löhlein, Georg Simon. <…> Clavier-Schule, oder kurze Anweisung zum Clavierspielen und dem Generalbasse, mit praktischen Beyspielen. Fünfte Auflage, umgearbeitet und vermehrt von Johann Georg Witthauer. Leipzig; Züllichau: Nathanael Sigismund Frommann, 1791.
31. Löhlein, Georg Simon. <…> Klavierschule, oder Anweisung zum Klavier- und Fortepiano-Spiel nebst vielen praktischen Beyspielen, und einem Anhange vom Generalbasse. Sechste Auflage, ganz umgearbeitet und sehr vermehrt von A. E. Müller. Jena: Friedrich Frommann, 1804.
32. Wolf, Georg Friedrich. Kurzer aber deutlicher Unterricht im Klavierspielen. <…> Göttingen: H. M. Grape, 1783.
33. Wolf, Georg Friedrich. <…> Unterricht im Klvierspielen. Erster Theil. Dritte, verbesserte und vermehrte Auflage. Halle: Johann Christian Hendel, 1789.
34. Wolf, Georg Friedrich. Kurzgefaßtes Musikalisches Lexikon, <…> Halle: Johann Christian Hendel, 1787.
35. Wolf, Georg Friedrich, Hrsg. Allgemeines Musikalisches Lexikon <…> Wien: s. n. [Musikalisch-Typographischen Verlags-Gesellschaft], 1800.
36. Wolf, Georg Friedrich. Kurzgefaßtes Musikalisches Lexikon, <…> Dritte, verbesserte und vermehrte Auflage. Halle: Johann Christian Hendel, 1806.
37. Wolf, Georg Friedrich. Kurzgefaßtes Musikalisches Lexikon, <…> Zweite, verbesserte und vermehrte Auflage. Halle: Johann Christian Hendel, 1792.
38. Türk, Daniel Gottlob. Klavierschule, oder Anweisung zum Klavierspielen <…>. Leipzig; Halle: Auf Kosten des Verfassers; in Kommission bey Schwickert in Leipzig, und bey Hemmerde und Schwetschke in Halle, 1789.
39. Wolf, Georg Friedrich. <…> Unterricht im Klavierspielen. Erster Theil <…> Vierte, verbesserte und vermehrte Auflage. Halle: Johann Christian Hendel, 1799.
40. Türk, Daniel Gottlob. Klavierschule, oder Anweisung zum Klavierspielen für Lehrer und Lernende, mit kritische Anmerkungen <…> Neue vermehrte und verbesserte Ausgabe. Leipzig; Halle: in Komission bey Schwickert in Leipzig und bey Hemmerde und Schwetschke in Halle, 1802.
41. Türk, Daniel Gottlob. School of Clavier Playing or Instructions in Playing the Clavier for Teachers & Students <…> Translation, Introduction & Notes by Raymond Haggh. Lincoln; London: University of Nebraska Press, 1982.
42. Tromlitz, Johann Georg. Ausführlicher und gründlicher Unterricht die Flöte zu spielen, <…> Leipzig: Adam Friedrich Böhme, 1791.
43. Koch, Heinrich Christoph. Musikalisches Lexikon, welches die theoretische und praktische Tonkunst, encyclopädisch bearbeitet, <…> Offenbach a/M.: Johann André, 1802.
44. Reichardt, Johann Friedrich. Ueber die Pflichten des Ripien-Violinisten <…> Berlin; Leipzig: Georg Jacob Decker, 1776.
45. Schilling, Gustav, Hrsg. Encyclopädie der gesammten musikalischen Wissenschaften, oder Universal= Lexicon der Tonkunst. <…> Erster Band. Stuttgart: Franz Heinrich Köhler, 1835.
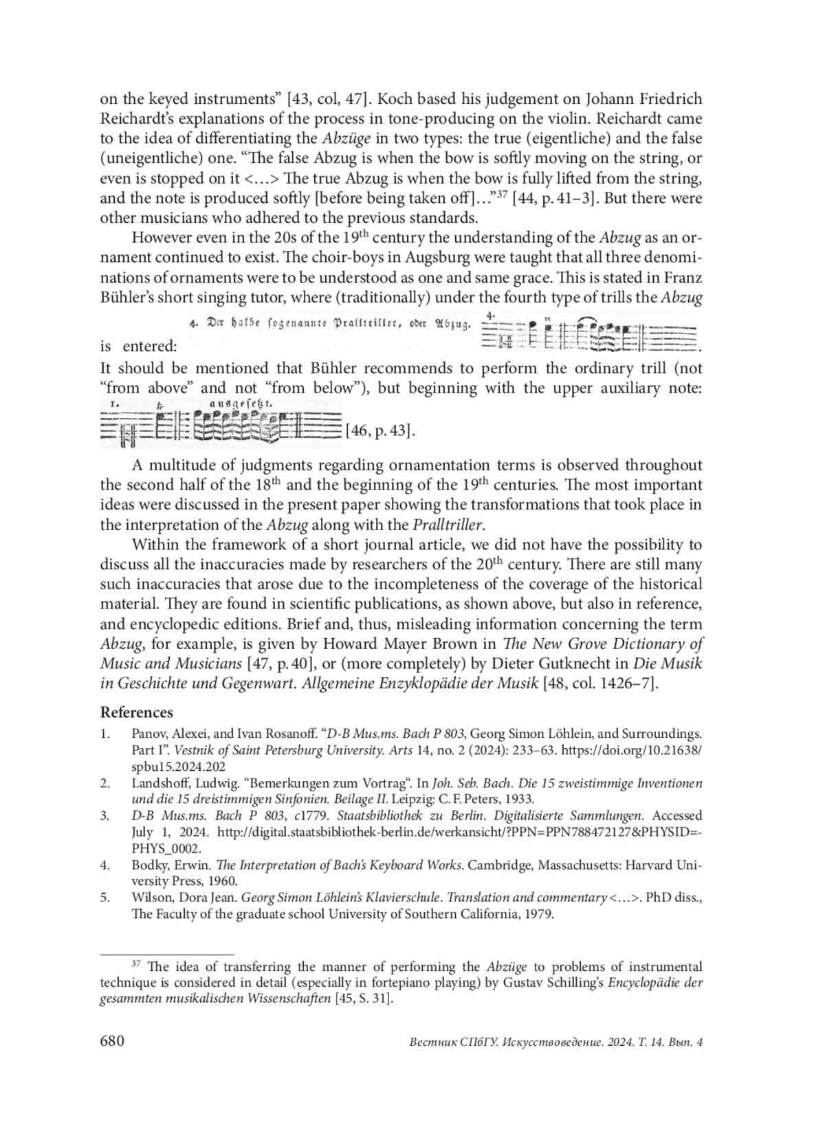
46. Bühler, Franz. Kurze Anfangsgründe zum Singen <…> Augsburg: Lotter und Sohn, 1822.
47. Brown, Howard Mayer. “Abzug”. In The New Grove Dictionary of Music and Musicians, ed. by Stanley Sadie, vol. 1: 40. London: Macmillan, 2001.
48. Gutknecht, Dieter. “Verzierungen”. In Die Musik in Geschichte und Gegenwart. Allgemeine Enzyklopädie der Musik begründet von Friedrich Blume, hrsg. von Ludwig Finscher, Bd. 9: 1426-7. Kassel; Basel; London; et. al.: Bärenreiter, 1994.