The Krause mean process serves as a comprehensive model for the dynamics of opinion exchange within multi–agent system wherein opinions are represented as vectors. In this paper, we propose a framework for opinion exchange dynamics by means of the Krause mean process that is generated by a cubic doubly stochastic matrix with positive influences. The primary objective is to establish a consensus within the multi–agent system
Идентификаторы и классификаторы
- SCI
- Математика
- УДК
- 51. Математика
The concept of achieving consensus within a structured, time–invariant, and synchronous environment was initially introduced by DeGroot [4]. Subsequently, Chatterjee and Seneta [3] extended DeGroot’s model to encompass structured, time–varying, and synchronous environments. These models depict the opinion–sharing dynamics of structured, time–varying, and synchronous multi–agent systems through the concept of the backward product of square stochastic matrices [1]. In contrast, the concept of a non–homogeneous Markov chain is represented by the forward product of square stochastic matrices. Consequently, achieving consensus within a multi–agent system and ensuring the ergodicity of the Markov chain are inherently interconnected problems.
Если у вас возникли вопросы или появились предложения по содержанию статьи, пожалуйста, направляйте их в рамках данной темы.
Список литературы
1. R.L. Berger. A necessary and sufficient condition for reaching a consensus using DeGroot’s method // J. Amer. Stat. Assoc. 76:374, 415-418 (1981). DOI: 10.1080/01621459.1981.10477662
2. T. Candan, M. Saburov, U. Ufuktepe. Reaching a consensus via Krause mean processes in multi-agent systems: quadratic stochastic operators // in “Progress on Difference Equations and Discrete Dynamical Systems”, Ed. by S. Baigent, et al., Springer, Cham 341, 397-409 (2020). DOI: 10.1007/978-3-030-60107-2_22 EDN: GMNAAB
3. S. Chatterjee, E. Seneta. Towards consensus: some convergence theorems on repeated averaging // J. Appl. Prob. 14:1, 89-97 (1977). DOI: 10.2307/3213262
4. M.H. De Groot. Reaching a consensus // J. Amer. Stat. Assoc. 69:345, 118-121 (1974). DOI: 10.1080/01621459.1974.10480137
5. N. Ganihodzhaev. On stochastic processes generated by quadric operators // J. Theor. Prob. 4:4, 639-653 (1991). DOI: 10.1007/BF01259547
6. R. Hegselmann, U. Krause. Opinion dynamics and bounded confidence: models, analysis and simulation // J. Art. Soc. Social Sim. 5:3, 1-33 (2002).
7. R. Hegselmann, U. Krause. Opinion dynamics driven by various ways of averaging // Comput. Econ. 25:4, 381-405 (2005). DOI: 10.1007/s10614-005-6296-3
8. U. Krause. A discrete nonlinear and non-autonomous model of consensus formation // in “Communications in Difference Equations”, Ed. by S. Elaydi, et al. Gordon and Breach, Amsterdam, 227-236 (2000).
9. U. Krause. Compromise, consensus, and the iteration of means // Elem. Math. 64:1, 1-8 (2009). DOI: 10.4171/em/109
10. U. Krause. Markov chains, Gauss soups, and compromise dynamics // J. Contemp. Math. Anal., Armen. Acad. Sci. 44:2, 111-116 (2009). DOI: 10.3103/S1068362309020058
11. U. Krause. Opinion dynamics - local and global // in “Proceedings of the Workshop Future Directions in Difference Equations”, Ed. by E. Liz, et al. Universidade de Vigo, Vigo, 113-119 (2011).
12. U. Krause. Positive Dynamical Systems in Discrete Time. Theory, Models, and Applications. de Gruyter, Berlin (2015). DOI: 10.1515/9783110365696
13. M. Saburov, Kh. Saburov. Reaching a consensus in multi-agent systems: A time invariant nonlinear rule // J. Educ. Vocational Res. 4:5, 130-133 (2013). DOI: 10.22610/jevr.v4i5.110
14. M. Saburov, Kh. Saburov. Mathematical models of nonlinear uniform consensus // ScienceAsia 40:4, 306-312 (2014). DOI: 10.2306/scienceasia1513-1874.2014.40.306 EDN: YEYIEF
15. M. Saburov, Kh. Saburov. Reaching a nonlinear consensus: polynomial stochastic operators // Inter. J. Cont. Auto. Sys. 12:6, 1276-1282 (2014). DOI: 10.1007/s12555-014-0061-0
16. M. Saburov, Kh. Saburov. Reaching a consensus: a discrete nonlinear time-varying case // Int. J. Syst. Sci., Princ. Appl. Syst. Integr. 47:10, 2449-2457 (2016). DOI: 10.1080/00207721.2014.998743
17. M. Saburov, Kh. Saburov. Reaching consensus via polynomial stochastic operators: a general study // in “Advances in Difference Equations and Discrete Dynamical Systems”, Springer, Singapore 212, 219-230 (2017). DOI: 10.1007/978-981-10-6409-8_14
18. M. Saburov, Kh. Saburov. Mathematical models of nonlinear uniformly consensus. II. // J. Appl. Nonlinear Dyn. 7:1, 95-104 (2018). DOI: 10.5890/JAND.2018.03.008
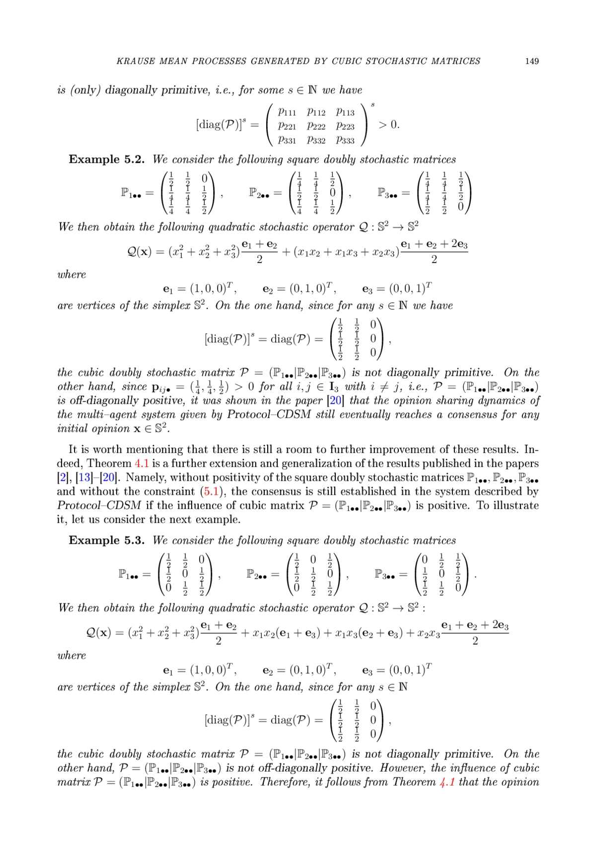
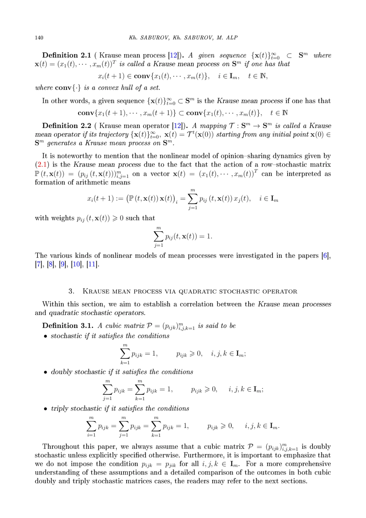
19. Kh. Saburov. Krause mean processes generated by cubic stochastic diagonally primitive matrices// Math Notes. 114:1-2, 250-264 (2023). DOI: 10.1134/S000143462307026X
20. M. Saburov, Kh. Saburov, Kh. Saburov. Krause mean processes generated by off-diagonally positive doubly stochastic hyper-matrices // Gulf J. Math. 16:2, 52-63 (2024). DOI: 10.56947/gjom.v16i2.1869
21. T. Sarymsakov, N. Ganikhodjaev. Analytic methods in the theory of quadric stochastic processes // J. Theor. Prob. 3:1, 51-70 (1990). DOI: 10.1007/BF01063328
22. E. Seneta. Nonnegative matrices and Markov chains. Springer Verlag, London (1973). DOI: 10.1007/0-387-32792-4
Выпуск
Другие статьи выпуска
We show that the inverse scattering transform technique can be applied to obtain the time dependence of scattering data of the Zakharov — Shabat system, which is described by the loaded nonlinear Schr ̈odinger equation in the class of fast decaying functions. In addition we prove that the Cauchy problem for the loaded nonlinear Schr ̈odinger equation is uniquely solvable in the class of rapidly decreasing functions. We provide the explicit expression of a single soliton solution for the loaded nonlinear Schr ̈odinger equation. As an example, we find the soliton solution of the considered problem for an arbitrary non–zero continuous function
Among several approaches towards the classical Bernoulli polynomials
Nowadays, the problem of classification of integrable nonlinear partial differential equations and their discrete analogues in 1+1 dimensions is well–studied. Within the framework of the symmetry approach, there was obtained a complete description of integrable representatives of a number of classes of equations that are interesting from the point of view of application, see [17], [34], [26], [2]. The problem of exhaustive classification of integrable equations containing a large number of independent variables remains less studied due to its extreme complexity. The symmetry approach, which has proven to be the most effective tool for classifying equations of dimension 1+1, is not quite suitable for integrable classification of multidimensional equations. As it is noted in [27], in this problem the symmetry approach loses its efficiency due to problems with nonlocalities involved in higher symmetries
This paper is devoted to studying the reaction–diffusion systems with rapidly oscillating coefficients in the equations and in boundary conditions in domains with locally periodic oscillating boundary; on this boundary a Robin boundary condition is imposed. We consider the supercritical case, when the homogenization changes the Robin boundary condition on the oscillating boundary is to the homogeneous Dirichlet boundary condition in the limit as the small parameter, which characterizes oscillations of the boundary, tends to zero. In this case, we prove that the trajectory attractors of these systems converge in a weak sense to the trajectory attractors of the limit (homogenized) reaction–diffusion systems in the domain independent of the small parameter. For this aim we use the homogenization theory, asymptotic analysis and the approach of V. V. Chepyzhov and M. I. Vishik concerning trajectory attractors of dissipative evolution equations. The homogenization method and asymptotic analysis are used to derive the homogenized reaction–diffusion system and to prove the convergence of solutions. First we define the appropriate auxiliary functional spaces with weak topology, then, we prove the existence of trajectory attractors for these systems and formulate the main Theorem. Finally, we prove the main convergence result with the help of auxiliary lemmas
Исследуются рациональные аппроксимации функций, задаваемых интегралом типа Римана — Лиувилля на отрезке [−1, 1] с плотностью, принадлежащей некоторым классам непрерывных функций. В качестве аппарата приближений выступает интеграл типа Римана — Лиувилля с плотностью, представляющей собой рациональный интегральный оператор Фурье — Чебышёва. Найдены оценки сверху приближений интеграла типа Римана — Лиувилля с ограниченной плотностью, зависящие от полюсов и положения точки на отрезке. Отдельной задачей изучаются приближения интегралов типа Римана — Лиувилля с плотностью, являющейся функцией со степенной особенностью. Получены равномерные оценки сверху приближений с определенной мажорантой, зависящей от положения точки на отрезке. Найдено асимптотическое выражение этой мажоранты, зависящее от полюсов аппроксимирующей рациональной функции. Исследован случай, когда полюсы представляют собой некоторые модификации «ньюменовских» параметров. Устанавливаются оптимальные значения параметров, при которых приближения имеют наибольшую скорость убывания. Скорость наилучших рациональных аппроксимаций рассматриваемым методом является выше в сравнении с соответствующими полиномиальными аналогами
В работе рассматриваются два вида усреднений унитарного представления группы R, построенных по некоторым последовательностям вероятностных мер на R. Первая последовательность мер обобщает равномерное распределение. Меры из этой последовательности имеют плотности в виде свертки конечного числа индикаторов отрезка. Вторая последовательность определяется экспоненциальным убыванием преобразования Фурье. Для таких усреднений получены оценки скорости сходимости по норме, зависящие от особенности спектральной меры унитарного представления в окрестности нуля и асимптотики последовательности преобразований Фурье усредняющих вероятностных мер. При этом максимальные возможные скорости являются степенными с показателем
Описан коммутант системы операторов интегрирования в пространстве Фреше
Мы предлагаем приближённый метод нахождения конформного отображения концентрического кольца на произвольную неограниченную двусвязную многоугольную область. Этот метод основан на идеях, связанных с параметрическим методом Лёвнера — Комацу. Мы рассматриваем гладкие однопараметрические семейства конформных отображений ℱ(
Статистика статьи
Статистика просмотров за 2026 год.
Издательство
- Издательство
- УФИЦ РАН
- Регион
- Россия, Уфа
- Почтовый адрес
- 450054, Республика Башкортостан, Г.О. город Уфа, Пр-кт Октября, д. № 71
- Юр. адрес
- 450054, Республика Башкортостан, Г.О. город Уфа, Пр-кт Октября, д. № 71
- ФИО
- Мартыненко Василий Борисович (Руководитель)
- E-mail адрес
- presidium@ufaras.ru
- Контактный телефон
- +7 (347) 2356022
- Сайт
- http://www.ufaras.ru