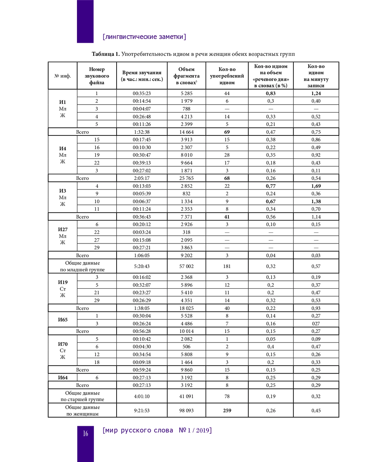
В статье описывается идиоматика повседневной русской речи в гендерном и возрастном аспектах ее изучения. Анализ производится на материале выборки из корпуса повседневной русской речи «Один речевой день», сбалансированной по гендеру (женщины и мужчины) и возрасту (носители языка до и после 40 лет). На основе сопоставления данных «речевых дней» 16 информантов дается количественная характеристика речи каждого из исследуемых социолектов. Так, оказалось, что в целом женщины и мужчины используют одинаковое количество идиом; однако женщины младшей и мужчины старшей возрастных групп более «идиомоориентированы» по сравнению со старшими женщинами и младшими мужчинами. Сравнение разных типов устойчивых выражений («словарные», модифицированные и окказиональные, т. е. потенциальные) позволяет увидеть общую картину идиоматики современной русской речи, а также показывает ее качественные сходства и различия в речи разных групп говорящих. Полученные данные могут быть использованы при построении методики отбора и описания идиоматики повседневной русской речи в дальнейших исследованиях, в любых других целях
Идентификаторы и классификаторы
- SCI
- Литература
Работа посвящена описанию гендерных и возрастных аспектов идиоматики (в широком понимании этого термина1 ) повседневной устной речи носителей русского языка. Необходимость в такой постановке вопроса вызвана тем, что, несмотря на большое разнообразие работ, посвященных описанию русской идиоматики, исследований, затрагивающих гендерный и/или возрастной аспекты описания данного лексического пласта, пока крайне недостаточно. Большинство существующих работ по идиоматике в гендерном аспекте рассматривают, как правило, не столько функционирование идиом в речи женщин и мужчин, сколько устойчивые выражения с гендерным компонентом, представления о мужчине и женщине через гендерные стереотипы, концепты и т. д. (см., например: [5; 8; 9] и мн. др.2 )
Если у вас возникли вопросы или появились предложения по содержанию статьи, пожалуйста, направляйте их в рамках данной темы.
Список литературы
1. Ахманова О. С. Словарь лингвистических терминов. М.: Советская энциклопедия, 1966. EDN: IMNYVY
2. Богданова-Бегларян Н. В., Асиновский А. С., Блинова О. В. и др. Звуковой корпус русского языка: новая методология анализа устной речи // Язык и метод: Русский язык в лингвистических исследованиях XXI века. Вып. 2 / Ред. Д. Шумска, К. Озга. Kraków: Wydawnictwo Uniwersytetu Jagiellońskiego, 2015. С. 357-372. EDN: WMQAQN
3. Богданова-Бегларян Н. В., Шерстинова Т. Ю., Блинова О. В. и др. Корпус «Один речевой день» в исследованиях социолингвистической вариативности русской разговорной речи // Анализ разговорной русской речи (АР3-2017): Труды седьмого междисциплинарного семинара / Науч. ред. Д. А. Кочаров, П. А. Скрелин. СПб.: Политехника-принт, 2017. С. 14-20. EDN: XWXEVL
4. Богданова-Бегларян Н. В., Шерстинова Т. Ю., Блинова О. В. и др. Корпус русского языка повседневного общения «Один речевой день»: текущее состояние и перспективы // Тр. Ин-та русского языка им. В. В. Виноградова. Вып. 18. М.: ИРЯ РАН, 2019. (В печати).
5. Ван Минь. Гендерный стереотип в языковом сознании носителей китайского языка (при сопоставлении с данными носителей русского языка): дис.. канд. филол. наук. Пермь, 2018.
6. Виноградов В. В. Русский язык: Грамматическое учение о слове. 3-е изд., испр. М.: Высшая школа, 1986.
7. Завадская Ю. О., Богданова-Бегларян Н. В. Оговорка как специфическая составляющая устной спонтанной речи (монолог vs диалог) // Вестн. Пермского ун-та. Российская и зарубежная филология. Вып. 1. 2019. (В печати.). EDN: FOZHCJ
8. Калинина О. Н. Гендерные аспекты русской фразеологии // Молодой ученый. 2017. № 14. С. 717-719. URL: https://moluch.ru/archive/148/41493/ (дата обращения: 04.11.2018). EDN: YJWTQT
9. Картушина Е. А. Гендерные аспекты фразеологии в массовой коммуникации: дис.. канд. филол. наук. Ижевск, 2003. EDN: NMOTBZ
10. Кунин А. В. Курс фразеологии современного английского языка. М.: Высшая школа; Дубна: Феникс, 1996. EDN: QRSDHN
11. Лю Даян. Модифицированные идиомы в русской повседневной речи // Коммуникативные исследования. 2018. № 1 (15). С. 20-34. EDN: YWETFS
12. Лю Даян. Молчать как рыба в пироге (об одной потенциальной идиоме русской разговорной речи) // Русистика и современность. Монография. Ч. 1 / Под ред. И. П. Лысаковой, Е. А. Железняковой. СПб.: Северная звезда, 2018. С. 98-103.
13. Лю Даян. Вытряхнуть - душу или из души? (к методике установления идиоматического статуса разговорных окказиональных выражений) // Матер. междунар. молодежного научного форума «ЛОМОНОСОВ-2018». Тезисы докладов. 9-13 апреля 2018 г. М.: МГУ, 2018.
14. Лю Даян. Копеечку стоит небезумную - это дорого или нет? (к методике описания потенциальных идиом русской повседневной речи) // XLVIII Междунар. филол. науч. конф. Тезисы докладов. СПб. (В печати).
15. Мокиенко В. М., Никитина Т. Г. Большой словарь русских поговорок. М: Олма Медиа Групп, 2007. EDN: PDFIHG
16. Русакова М. В. Элементы антропоцентрической грамматики русского языка / Ред.: М. Д. Воейкова, H. H. Казанский, А. Ю. Русаков и др. М.: Языки славянской культуры, 2012.
17. Русский язык повседневного общения: особенности функционирования в разных социальных группах. Коллективная монография / Отв. ред. Н. В. Богданова-Бегларян. СПб.: ЛАЙКА, 2016.
18. Словарь современного русского города / Под ред. Б. И. Осипова. М.: Русские словари: Астрель: АСТ: Транзиткнига, 2003.
19. Федоров А. И. Фразеологический словарь русского литературного языка. 3-е изд., испр. М.: Астрель: АСТ, 2008. EDN: QYNEOX
Выпуск
Другие статьи выпуска
Истории литературы известны примеры писателей-билингвов, но Владимир Набоков — пожалуй, единственный в мире художник слова, ставший крупнейшим, признанным мастером сразу в двух литературах, а именно в русской и американской. В России его справедливо считают русским писателем, в то время как в США, куда он переехал из Европы в начале Второй Мировой, в 1940 году, его столь же полноправно причисляют к американским авторам. В одном из поздних интервью Набоков в присущей ему бескомпромиссной манере заявил: «<…> я считаю себя — сейчас — американским писателем, который был некогда писателем русским» 1. Правда, расставание с родной речью и переход на английский язык дались автору «Защиты Лужина» и «Дара» не просто тяжело, а вызвали настоящие душевные муки
Имя Раисы Константиновны Боженковой — академика РАЕН, доктора филологических наук, профессора — по праву вплетено в летопись не только ЮгоЗападного государственного университета, но и современной русистики. Почетный работник высшего профессионального образования РФ, кавалер медали К. Д. Ушинского «За заслуги в области педагогических наук», обладатель почётных званий «Заслуженный деятель науки и образования» (РАЕ) и «Рыцарь науки и искусств» (РАЕН) и др. — полный список её регалий не уместить и на странице, однако, по нашему глубокому убеждению, все эти звания — лишь скромная награда за пройденный путь, вымощенный Трудом и Знанием. И сегодня мы — все те, кому судьба подарила счастье работать рядом с Раисой Константиновной или учиться у нее, — хотим признаться в уважении и бесконечной любви к прекрасному человеку, пытливому учёному, истинному учителю, чтобы не затерялись, не канули в Лету Слова и Дела
В 2018 году отметила свой юбилей М. В. Всеволодова, заслуженный профессор Московского государственного университета имени М. В. Ломоносова. Её имя широко известно не только в России: без преувеличения можно сказать, что научное творчество этого крупного учёного составляет целую эпоху в теории и практике преподавания русского языка как иностранного, а также в отечественной и зарубежной лингвистике в целом
15–17 ноября 2018 года на Филологическом факультете Санкт-Петербургского государственного университета состоялась Международная научно-практическая конференция, посвященная 200-летию со дня рождения выпускника университета Ивана Сергеевича Тургенева1. Конференция прошла в рамках секции «Образование» VII Санкт-Петербургского международного культурного форума и стала одним из его самых значительных литературных событий
Практика преподавания РКИ сформировала представление о стихотворном тексте как наиболее сложном для чтения и понимания иностранной аудиторией. Между тем он оказывается тем благодатным материалом, который активно стимулирует освоение РКИ как на начальной стадии обучения, так и на этапах совершенствования владения языком
В статье представлен краткий лингвистический обзор русского языка в сопоставительном плане на фоне других славянских языков в аспекте их преподавания и изучения, а также в свете стереотипного восприятия русского языка как «самого сложного». Сопоставительный план дает возможность посмотреть на русский язык объективнее и отметить грамматические позиции, которые в других славянских языках представляют бóльшую сложность для их освоения иностранными учащимися
В статье анализируются лингвометодические трудности, возникающие при отборе лексико-семантических вариантов (ЛСВ) предлогов, включаемых в содержание обучения на Первом сертификационном уровне общего владения русским языком как иностранным (РКИ), а также вопросы их презентации в таких важных нормативно-методических документах данного уровня, как Программа и Лексический минимум
В статье предпринята попытка анализа имагологического образа арабского Востока в построссийской прозе русскоязычной писательницы Дины Рубиной на материале повести «Туман» (2008). Анализ осуществляется в рамках литературоведческой имагологии. Имагологический подход становится особенно продуктивен при рассмотрении своеобразия функционирования и презентации арабского компонента в построссийской прозе Дины Рубиной. Автор также исследует дискурсивные концепты, в которых выстраивается писательницей представление об арабском Востоке
В современной лингвистике особую значимость приобретают так называемые «документы личного происхождения» или эго-документы с точки зрения реализации в них частной памяти как нового типа внимания к прошлому. При этом особую важность приобретают вопросы, посредством чего происходит восприятие личной истории как общей, благодаря каким речевым приемам в «человеческом документе» становится возможным вывести опыт человека в сферу публичного и сделать аудиторию сопричастной этому опыту. В ходе исследования ряда текстов, представляющих собой эго-документы в литературе XX–XXI вв., был обнаружен ряд средств обращенности речи повествователя, как лексического, так и синтаксического плана, посредством которых адресат мыслится как субстанция, близкая говорящему, находящаяся с ним в одной сфере. В результате сближения или даже наложения сфер сознания возникает особый дискурс, в котором автор, сохраняя свою повествовательную форму, генерализирует ее, наполняя содержанием сознания другого субъекта. Можно предположить, что перед нами случай типологической двойственности повествования, благодаря которой возникает переход между документом памяти и литературным текстом, являющийся характерной чертой эго-документов
В статье рассматриваются устойчивые словосочетания с семантическим компонентом «память» в поэтическом языке Н. А. Некрасова и А. А. Ахматовой. Выявляются общеупотребительные и авторские фразеологизмы со значением «память/забвение» в творчестве обоих поэтов, определяется их роль в создании поэтического идиостиля. Определяются черты сходства и различия данных фразеологизмов у Некрасова и Ахматовой, частотность их употребления. Как показывает исследование, фразеология памяти отражает особенности мировоззрения поэтов, характеризует их отношение к времени, создает особый эмоциональный настрой
В статье анализируется информационная структура современного и классического рассказа на материале произведений А. П. Чехова и русскоязычных прозаиков XXI века. Выявляются сходства и различия в способах и этапах модификации информации в них, а также методический потенциал когнитивного подхода к анализу языка произведения в аспекте преподавания РКИ
В статье сопоставляются и анализируются образные параллели с лексемами гроза и облака в мифологии древних славян (с опорой на труды А. Н. Афанасьева) и в русской поэзии XVIII–XX вв., подтверждается предположение о том, что мифологическое и поэтическое сознание имеют общие черты
В статье представлен анализ высказывания «Цвет настроения синий», являющегося начальной музыкальной фразой шлягера, исполняемого Филиппом Киркоровым. На основе корпусных данных установлено, что высказывание стало востребованным прецедентным текстом. Феномен прецедентности в данном случае связан, с одной стороны, с нестандартной креативной идеей, с другой стороны, с мелодичностью фразы. В процессе исследования прослеживается как формальная, так и содержательная трансформация колористической метафоры в текстах СМИ и рекламы
Рассмотрены основные проблемы типов / видов картин мира. Дана их номенклатура. Выделена эмоциональная картина мира как фрагмент языковой. Доказывается невозможность и необъективность оформления единой языковой / эмоциональной картины мира. Предложено новое терминопонятие «российская эмоциональная картина мира»
Заметка, приуроченная к юбилею Виктора Ивановича Шаховского, неспроста предваряется стихотворением, посвященном эмоциям — субстанции, которую нельзя пощупать, но можно почувствовать, пронаблюдать, проявить, скрыть, подавить, выразить… Ученый, который посвятил немало лет жизни изучению эмоций человека, должен обладать талантом, даром, способностями, позволяющими увидеть и описать не просто эмоции, а их отражение в языке. Виктор Иванович — создатель и бессменный руководитель научно-исследовательской лаборатории «Язык и личность», на которой обсуждались и рекомендовались к защите более 50 докторских и кандидатских диссертаций, выполненных под его руководством, а с учетом других научных руководителей кафедры языкознания — более сотни
Статья посвящена рассмотрению трансдисциплинарного подхода к языку в рамках научной школы проф. М. Н. Кожиной. Применение этого подхода, т. е. использование некоторых положений таких смежных наук и научных направлений, как науковедение, эпистемология, психология научного творчества, психолингвистика, социопсихолингвистика и др., объясняется обращением к текстам, содержанием которых является научное знание. Трансдисциплинарный подход, иллюстрируемый на примере проблемы смысловой структуры научного текста, оказался продуктивным для исследования разных проблем функциональной стилистики
Не один я думаю, что возродившаяся после памятного почти годичного «обсуждения вопросов стилистики» в журнале «Вопросы языкознания» (1955. No 2–6; 1956. No 1) эта лингвистическая дисциплина в настоящее время требует серьезного обновления. В русле складывавшейся тогда функциональной теории появлялись течения разных весовых категорий убедительности: учение о стилях языка и стилях речи, о подъязыках или (с уклоном Ю. М. Скребнева на зарубежные работы) субъязыках, о всеохватывающих (по широте взглядов ее основателя М. М. Бахтина) речевых жанрах, о текстах и их группировках, о «языковой матрице культуры» и «пластике общения» и прочи
Целесообразность освоения иностранцами русской разговорной речи в настоящее время безоговорочно признается отечественными и зарубежными методистами и преподавателями-практиками. В лингвометодическом плане применительно к обучению иностранцев материал разговорной речи (обиходно-разговорного стиля) разработан достаточно полно: теоретические курсы русского языка и культуры речи обеспечены пособиями для студентов-иностранцев, раскрывающими особенности русской разговорной речи
В статье исследуются синтаксические и семантические свойства конструкции с отрицательной оценкой «нет чтобы (чтоб) Р». Выделяются и рассматриваются три элемента конструкции: субъект оценки, объект оценки и основание оценки. Взаимосвязь исходной и модифицированной структур оценочной конструкции демонстрирует общее направление грамматикализации
Статистика статьи
Статистика просмотров за 2026 год.
Издательство
- Издательство
- СПБГУ
- Регион
- Россия, Санкт-Петербург
- Почтовый адрес
- Россия, 199034, Санкт-Петербург, Университетская наб., д. 7–9
- Юр. адрес
- 199034, г Санкт-Петербург, Василеостровский р-н, Университетская наб, д 7/9
- ФИО
- Кропачев Николай Михайлович (РЕКТОР)
- E-mail адрес
- spbu@spbu.ru
- Контактный телефон
- +7 (812) 3282000
- Сайт
- https://spbu.ru/