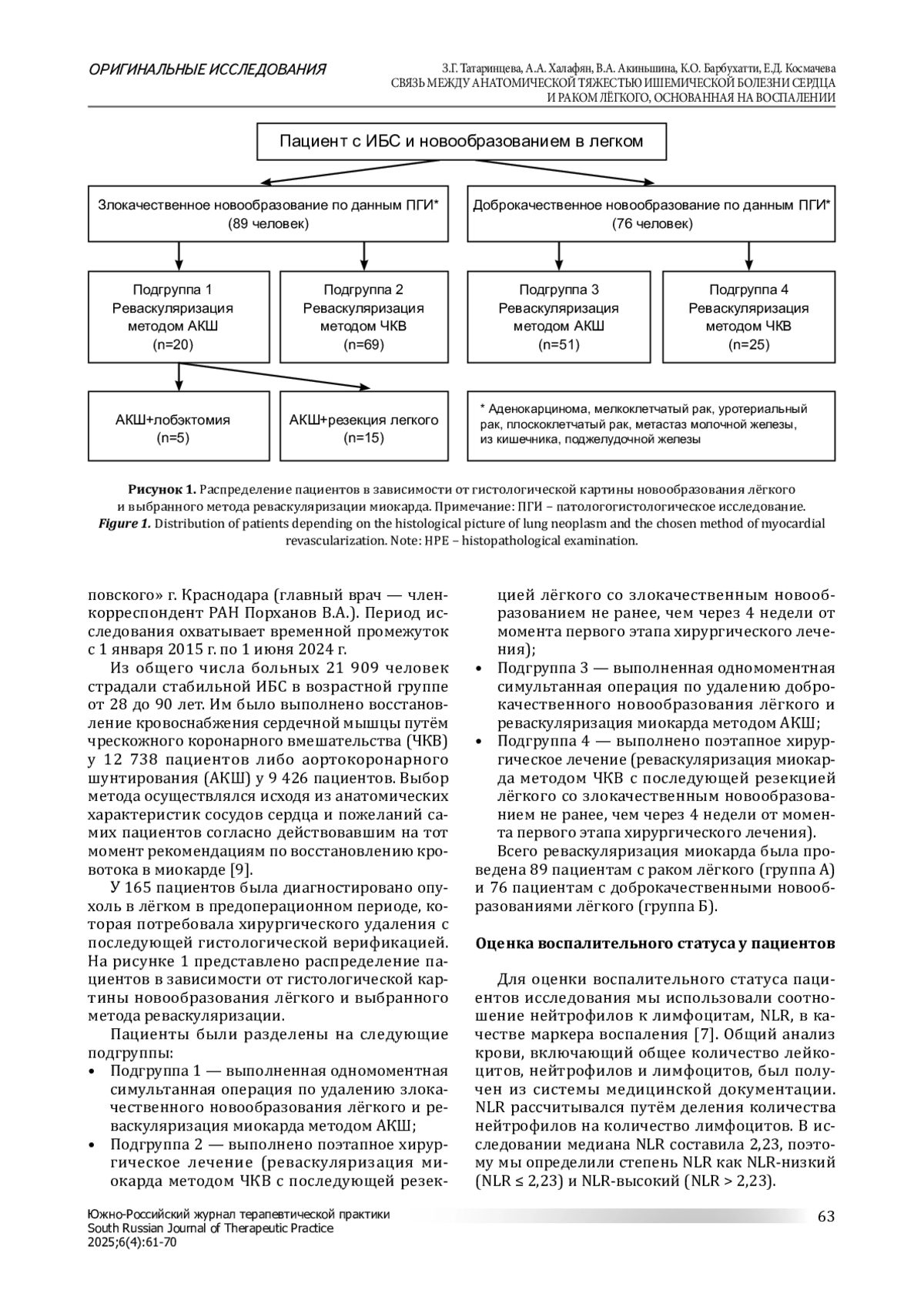
Цель: изучить связь между ишемической болезнью сердца (ИБС) и раком лёгкого. Материалы и методы: период исследования охватывает временной промежуток с 1 января 2015 г. по 1 июня 2024 г. Анализировались пациенты, прошедшие плановую реваскуляризацию миокарда в «Научно-исследовательском институте — Краевая клиническая больница №1 им. проф. С. В. Очаповского» г. Краснодара (главный врач — член-корреспондент РАН Порханов В. А.). У 165 пациентов была диагностировано опухоль в лёгком в предоперационном периоде, которая потребовала хирургического удаления с последующей гистологической верификацией. У 89 пациентов верифицирован рак лёгкого (группа А), и у 76 пациентов диагностировано доброкачественное новообразование лёгкого (группа Б). Результаты: у пациентов с раком лёгкого и без такового не было выявлено значимых различий по полу, возрасту и анамнестическим данным. У пациентов с раком лёгких анатомическая тяжесть ИБС, рассчитанная по шкале SYNTAX (SX), была выше, чем у пациентов без рака (медиана — 12,00, межквартильный размах — 4,55–21,01 против медианы в 9,00, межквартильного размаха в 3,00–14,28, р=0,036). SX определялся как высокий (SXhigh) при значении >16, низкий (SXlow) — ≤16. Всем пациентам определялось соотношение нейтрофилов к лимфоцитам (NLR), которое определялось как высокое (NLR-high) при значении >2,23 и как низкое (NLR-low) — при значении ≤2,23. Среди всех пациентов пациенты с раком лёгких имели более высокую частоту SXhigh по сравнению с пациентами без рака (35,96% против 19,73, р=0,021). Более того, среди пациентов с NLR-high у пациентов с раком лёгких была более высокая частота SXhigh, чем у пациентов без рака (50,82% против 25,0%, р=0,044), однако среди пациентов с раком лёгких процент SXhigh не был значительно выше, чем у пациентов без рака среди пациентов с NLR-low (21,43% против 19,64%, р=0,850). Многофакторный логистический регрессионный анализ показал, что SXhigh был связан с повышенным риском рака лёгких с отношением шансов 1,834 (95% ДИ: 1,063–3,162, р=0,029). Выводы: анатомическая тяжесть ИБС была связана с раком лёгких, однако ассоциация двух заболеваний была более значимой среди пациентов с высоким уровнем воспаления, чем среди пациентов с низким уровнем воспаления. Результаты показали, что воспаление может играть важную роль в ассоциации между ИБС и раком лёгких.
Идентификаторы и классификаторы
Связь между ишемической болезнью сердца (ИБС) и раком лёгкого является предметом многочисленных исследований, поскольку оба заболевания имеют общие факторы риска (курение, возраст, генетика, факторы окружающей среды, ожирение, диабет, гиподинамия, стрессы) и патогенетические механизмы (хроническое воспаление, оксидативный стресс и эндотелиальная дисфункция). Хроническое воспаление активирует воспалительные цитокины, такие как интерлейкин-6 (IL-6) и фактор некроза опухоли α (TNF-α), которые стимулируют пролиферацию клеток и ангиогенез — процессы, важные для роста опухоли. Кроме того, нарушение кровоснабжения тканей вследствие ИБС может привести к гипоксии, что стимулирует образование новых кровеносных сосудов и рост опухоли [1].
Если у вас возникли вопросы или появились предложения по содержанию статьи, пожалуйста, направляйте их в рамках данной темы.
Список литературы
1. Zhao YW, Yan KX, Sun MZ, Wang YH, Chen YD, Hu SY. Inflammation-based different association between anatomical severity of coronary artery disease and lung cancer. J Geriatr Cardiol. 2022;19(8):575-582. doi: 10.11909/j.issn.1671-5411.2022.08.003.
2. Handy CE, Quispe R, Pinto X, Blaha MJ, Blumenthal RS, Michos ED, et al. Synergistic Opportunities in the Interplay Between Cancer Screening and Cardiovascular Disease Risk Assessment: Together We Are Stronger. Circulation. 2018;138(7):727-734. DOI: 10.1161/CIRCULATIONAHA.118.035516
3. Родионов Е.О., Тузиков С.А., Миллер С.В., Кульбакин Д.Е., Чернов В.И. Методы ранней диагностики рака легкого (обзор литературы). Сибирский онкологический журнал. 2020;19(4):112-122. DOI: 10.21294/1814-4861-2020-19-4-112-122
4. Sandfeld-Paulsen B, Meldgaard P, Sorensen BS, Safwat A, Aggerholm-Pedersen N. The prognostic role of inflammation-scores on overall survival in lung cancer patients. Acta Oncol. 2019;58(3):371-376. DOI: 10.1080/0284186X.2018.1546057
5. Ridker PM, MacFadyen JG, Thuren T, Everett BM, Libby P, Glynn RJ; et al. Effect of interleukin-1β inhibition with canakinumab on incident lung cancer in patients with atherosclerosis: exploratory results from a randomised, double-blind, placebo-controlled trial. Lancet. 2017;390(10105):1833-1842. DOI: 10.1016/S0140-6736(17)32247-X
6. Морозов А.М., Жуков С.В., Морозова А.Д. Зиньковская С.К., Романова А.Н., Илькаева В.Н., и др. Современные маркеры воспаления. Врач. 2022;33(11):47-52. DOI: 10.29296/25877305-2022-11-08
7. Кочеткова И.В. Соотношение нейтрофилов и лимфоцитов: новый маркер изучения внутридоменной связи в гериатрической практике. РМЖ. 2025;6:23-29. DOI: 10.32364/2225-2282-2025-6-5
8. Захарьян Е.А., Ибрагимова Р.Э. Нейтрофильно-лимфоцитарное соотношение у больных с ишемической болезнью сердца. Уральский медицинский журнал. 2023;22(1):51-56.
9. Yeginsu A, Vayvada M, Karademir BC, Erkılınç A, Tasci AE, Buyukbayrak F, et al. Combined Off-Pump Coronary Artery Bypass Grafting and Lung Resection in Patients with Lung Cancer Accompanied by Coronary Artery Disease. Braz J Cardiovasc Surg. 2018;33(5):483-489. DOI: 10.21470/1678-9741-2018-0126
10. Gaudino M, Hameed I, Di Franco A, Naik A, Demetres M, Biondi-Zoccai G, et al. Comparison of SYNTAX score strata effects of percutaneous and surgical revascularization trials: A meta-analysis. J Thorac Cardiovasc Surg. 2023;165(4):1405-1413.e13. DOI: 10.1016/j.jtcvs.2021.05.036
11. Yang Q, Chen Y, Gao H, Zhang J, Zhang J, Zhang M, et al. Chemotherapy-Related Anatomical Coronary-Artery Disease in Lung Cancer Patients Evaluated by Coronary-Angiography SYNTAX Score. Arq Bras Cardiol. 2020;114(6):1004-1012. (In English, Portuguese). DOI: 10.36660/abc.20190201
12. Kim J, Lee JY, Ham NS, Oh EH, Chang HS, Park H, et al. Association Between Carotid Ultrasonography Findings and Colorectal Adenoma in Asymptomatic Adults. Dig Dis Sci. 2020;65(6):1816-1828. DOI: 10.1007/s10620-019-05899-7
13. Berkovitch A, Younis A, Grossman Y, Segev S, Kivity S, Sidi Y, et al. Relation of Neutrophil to Lymphocyte Ratio to Risk of Incident Atrial Fibrillation. Am J Cardiol. 2019;123(3):396-401.
Выпуск
Другие статьи выпуска
6 июня 2025 года в г. Ростове-на-Дону в рамках Межрегиональной конференции Южного федерального округа «Актуальные проблемы хронических неинфекционных заболеваний в практике терапевта» состоялся Совет экспертов «Преимущества раннего выявления, диспансерного наблюдения и лечения пациентов с предиабетом». В работе Совета приняли участие главные внештатные специалисты по терапии Южного федерального округа (ЮФО). Модераторами встречи выступили главный внештатный специалист по ЮФО, профессор Чесникова Анна Ивановна и научный сотрудник отдела научно-стратегического развития первичной медико-санитарной помощи ФГБУ «НМИЦ ТПМ» Минздрава России Лавренова Евгения Александровна.
Гранулематозные болезни — это гетерогенная группа заболеваний различной этиологии, проявляющихся разнообразными клиническими синдромами и вариантами тканевых изменений, неоднородной чувствительностью к терапии и преобладанием общего доминирующего гистологического признака (наличия гранулем, определяющих клинико-морфологическую сущность каждой болезни). Среди гранулематозных заболеваний особое место занимает саркоидоз как одна из наиболее распространённых и клинических значимых патологий данной группы. Приводится клиническое наблюдение редкой коморбидности — саркоидоподобной реакции и рака предстательной железы у мужчины 61 года, подтверждённой при исследовании биопсийного материала.
Нефропатия — термин, используемый для обозначения повреждения или нарушения функции почек, которые в конечном итоге могут привести к почечной недостаточности. При этом в клинической практике часто встречаются вторичные нефропатии, которые не являются самостоятельными заболеваниями почек, а представлены осложнением основного заболевания. Миеломная нефропатия, представляющая собой серьёзное осложнение множественной миеломы, служит примером вторичного поражения почек. Зачастую диагностирование этой патологии происходит уже в том случае, когда появляются поздние необратимые осложнения, в результате чего процент эффективности лечения уменьшается из-за развития хронической почечной недостаточности. Для оптимизации выявления почечных нарушений и своевременного начала необходимого лечения, мы представляем анализ клинического случая пациента, страдающего этим заболеванием.
Разбор данного клинического случая направлен на понимание вклада метаболических заболеваний в развитие и дальнейшее течение острого инфаркта миокарда. В наши дни доказано, что неалкогольная жировая болезнь печени (НАЖБП) и метаболический синдром (МС) тесно связаны с сердечно-сосудистыми заболеваниями, особенно с ишемической болезнью сердца (ИБС). Стеатоз печени, ассоциированный с метаболической дисфункцией, представляет собой растущую проблему для здоровья населения. Метаболическая дисфункция и связанная с ней инсулинорезистентность сопряжены с повышенным риском развития эндотелиальной дисфункции и системного воспалительного ответа. Эта сложная патофизиология ускоряет атерогенную дислипидемию, атерогенез, диастолическую дисфункцию и сердечные аритмии. Углубленное изучение проблематики единых патогенетических механизмов у коморбидных пациентов позволит своевременно предотвратить развитие острых событий в течение хронических неинфекционных заболеваний.
Цель: установить особенности изменений щитовидной железы у больных с ревматоидным артритом (РА) при наличии субклинической гипотиреоидной дисфункции (гипоСТД). Материалы и методы: обследованы 457 больных РА. Выявлены 68 человек (14,6%), в том числе 63 женщины, с признаками гипоСТД. Все пациентки с РА и признаками гипоСТД были отнесены к I группе. Во II группу (группу сравнения) были включены 44 женщины, больные РА без гипоСТД. Результаты: объём щитовидной железы (ЩЖ) у больных I группы в среднем составлял 11,15 см3 (мл) (LQ — 9,5; UQ — 13,2) и был достоверно ниже показателей II группы — 14,06 см3 (LQ — 13,3; UQ — 16,2) (U=780, р<0,05). При увеличении активности РА объём ЩЖ снижался в обеих группах. Однако у больных II группы указанное снижение носило характер тенденции (р >0,05), тогда как в I группе различия между показателями больных с низкой и высокой активностью приобретали статистическую значимость (U=763; р <0,05). Более того, объёмные показатели ЩЖ у лиц I группы с высокой степенью активности РА были достоверно меньше, чем во II группе. В зависимости от длительности РА отмечалось уменьшение объёмных показателей ЩЖ. Однако у лиц I группы уменьшение объёма ЩЖ с 14,6 см3 при длительности РА до 6 лет до 8,9 см3 при продолжительности >10,5 лет было статистически значимым (p <0,05), тогда как у больных II группы эти изменения носили характер тенденции (p >0,05). Более того, объём ЩЖ у лиц I группы оказался меньше, чем у больных II группы со значимой разницей у больных с длительностью РА от 6,5 до 10 лет (p <0,05). Изучение взаимосвязи отдельных показателей больных РА с гипоСТД показал, что на развитие гипоСТД у больных РА влияют длительность артрита (kKW = 8,86, р = 0,003), наличие и возраст начала менопаузы (kKW = 4,23, р = 0,039; kKW = 6,36, р = 0,012 соответственно), объём ЩЖ (kKW = 8,0, р = 0,0046), а также серопозитивность (наличие ревматоидного фактора) (kKW =13,1, р<0,001). Заключение: проведённое исследование показало обратную зависимость объёма ЩЖ от активности и продолжительности РА, что с учётом высокой связи с серопозитивностью может свидетельствовать об едином аутоиммунном характере системного воспаления, проявляющегося как РА, так и гипоСТД, или о коморбидности данных заболеваний, что требует обязательного и динамического контроля состояния ЩЖ у больных РА.
Цель: интеграция в амбулаторную практику мониторинга кардиоваскулярной адаптации у пациентов с АГ с использованием простых расчётных кардиальных индексов. Материалы и методы: у 79 пациентов с АГ (43 мужчины и 36 женщины) в возрасте от 18 до 59 лет, помимо физикального обследования, антропометрии, биоимпедансометрии, были определены клинико-инструментальные показатели, необходимые для расчёта таких первичных кардиоваскулярных параметров как систолическое (САД) и диастолическое (ДАД) артериальное давление, среднее гемодинамическое давление (СрГД), ударный индекс (УИ), сердечный индекс (СИ), ударный объём крови (УОК), минутный объём крови (МОК). В качестве интегральных показателей состояния ССС рассматривались удельное периферическое сосудистое сопротивление (УПСС), интегральный показатель уравновешенности сердечного и сосудистого компонентов (ИПУССК) и адаптационный потенциал (АП). Результаты: у 69,6% пациентов АГ была неконтролируемой. Наличие у больных с АГ высокого уровня висцерального жира (ВЖ≥9 усл. ед.) по сравнению с их нормальными значениями сопровождалось более высокими значениями САД и ДАД; при этом статистически значимая корреляция уровня ВЖ со значениями САД, ДАД, СрГД и УПСС была прямой, а с УОК, СИ, ИПУССК, АП — обратной; у пациентов моложе 44 лет в отличие от лиц в возрастном диапазоне от 44 до 59 лет увеличение ВЖ не сопровождалось повышением СИ и УПСС. Ни у одного больного с АГ не было выявлено удовлетворительного уровня адаптации (АП ≤ 2,1 усл. ед.). У больных с неудовлетворительной адаптацией в отличие от лиц с напряжением механизмов адаптации были обнаружены более высокие (p<0,05) значения САД, СРГД, ЧСС, УОК, МОК, а также прямая корреляции АП с ИПУССК и обратные корреляции АП с УПСС и УПСС с ИПУССК, которые отражали прессорную сосудистую активность и повышенную нагрузку на сердце со снижением его насосной функции. Заключение: интеграция в клиническую практику, в зависимости от подкласса АП, таких простых интегральных кардиоваскулярных показателей как УПСС, отражающий резистентность сосудистого русла и УПУССК, указывающий на уравновешенность сердечного и сосудистого компонентов позволяет оценить степень кардиоадаптации, насосную функцию сердца и степень сосудистого сопротивления для оценки эффективности лечения и профилактики осложнений АГ без необходимости прибегать к дополнительным дорогостоящим методам диагностики.
Цель: оценить взаимосвязь между приверженностью к лечению и психоэмоциональным состоянием (ПЭС) у амбулаторных больных с артериальной гипертензией (АГ). Материалы и методы: обследованы 114 амбулаторных пациентов обоих полов с АГ, медиана возраста — 64,00 (57,00–73,00) года. Респонденты заполняли онлайн электронный опросник количественной оценки приверженности лечению (КОП-25) с автоматическим расчётом 4 показателей приверженности к модификации образа жизни (МОЖ), медицинскому сопровождению (МС), лекарственной терапии (ЛТ) и общую приверженность лечению (ОПЛ). Уровень приверженности оценивался как низкий при показателе <50%, средний 50-75% и высокий >75%. Для диагностики ПЭС пациента использовались анкета «Госпитальная шкала тревоги и депрессии (HADS)», методика оценки тревожности Ч. Д. Спилбергера, Ю. Л. Ханина. Результаты: у пациентов с АГ показатели приверженности к МОЖ, МС, ЛТ, ОПЛ составили 64,06±17,36, 73,00 (63,25–80,00), 69,53±16,12, 68,55±15,86% соответственно. Чаще встречалась низкая приверженность к МОЖ (у 21,9%) и высокая приверженность к ЛТ (у 40,4% больных). По шкале HADS тревога/депрессия отсутствовали у 86,8/71,1%, их субклинический уровень выявлен у 8,8/19,3%, клинически выраженный уровень — у 4,4/9,6% пациентов соответственно. Реактивная тревожность (РТ) низкого уровня диагностирована у 36,8%, умеренная — у 48,2%, выраженная — у 14,9%. При отсутствии тревоги низкая приверженность к МОЖ и МС выявлена у 16,2% и 6,1%, при субклинической тревоге — у 80% и 30% больных соответственно. При анализе зависимости приверженности к МОЖ, МС, ЛТ и ОПЛ от наличия/отсутствия депрессии у пациентов с АГ не выявлено статистически значимых различий. При увеличении уровня РТ увеличивалось количество пациентов с низким уровнем приверженности и снижалось количество больных с высоким уровнем приверженности к МОЖ, МС, ЛТ и ОПЛ. У более половины пациентов с низкой РТ встречался высокий уровень приверженности к МС, ЛТ, ОПЛ. Заключение: большинство амбулаторных пациентов с АГ имело средний уровень приверженности к МОЖ, МС, ЛТ, ОПЛ. Чаще встречалась низкая приверженность к МОЖ и высокая приверженность к ЛТ. Субклиническая/ клиническая тревога и депрессия отмечены у 13,2% и 28,9% амбулаторных пациентов с АГ соответственно. Почти 2/3 больных с АГ имело РТ среднего и высокого уровня, указывающие на пребывание в стрессовой ситуации. Отсутствие тревоги у пациентов с АГ статистически значимо ассоциировалось с повышением приверженности к МОЖ и МС, но не было связано с приверженностью к ЛТ и ОПЛ.
Цель: определить предикторы развития фибрилляции предсердий (ФП) в отдаленном периоде у пациентов, перенёсших COVID-19. Материал и методы: в проспективное исследование включены 112 пациентов без значимых сердечно-сосудистых заболеваний в анамнезе, госпитализированных со средне-тяжёлым и тяжёлым течением COVID-19. При поступлении всем больным выполнялось общеклиническое обследование, а также определение концентрации NT-proBNP, уровня высокочувствительнного тропонина Т (вчTrT). Наблюдение за пациентами осуществлялось в течение 366 [365; 380] дней после выписки из COVID-стационара. Результаты: пациенты были разделены на две группы: I группу составили 103 (92%) пациента, у которых ФП не было, во II группу включены 9 (8%) больных, у которых в отдалённом периоде наблюдения был впервые диагностирован пароксизм ФП. По результатами многофакторного анализа статистически значимыми предикторами, ассоциированными с развитием ФП после COVID-19, были возраст >60 лет, мужской пол, риск по шкале SCORE-2, индекс курения >20 пачка/лет, значение СКФ <70 мл/мин./1,73м2 и сумма баллов психологического компонента здоровья, согласно опроснику, SF–36 менее 75. Заключение: значимое влияние на развитие ФП в отдалённом периоде у пациентов, перенёсших COVID-19, оказывают традиционные факторы сердечно-сосудистого риска (пожилой возраст, мужской пол, курение, значение СКФ), а также сниженный психологический статус во время госпитализации.
Цель: оценить влияние оперативного вмешательства на колебания уровня окситоцина в сыворотке крови и слюне, а также взаимосвязь между уровнем когнитивной дисфункции и окситоцином. Провести оценку эффективности реабилитации когнитивной дисфункции пациентов с использованием стимулирующих компьютерных программ после проведения аортокоронарного шунтирования. Материалы и методы: исследование включало 47 мужчин, госпитализированных для планового аортокоронарного шунтирования в условиях искусственного кровообращения. Когнитивные функции оценивались до операции и на 10-й день послеоперационного периода с использованием скрининговых тестов. Определение уровня окситоцина осуществлялось с помощью метода иммуноферментного анализа. В госпитальном периоде пациенты получали медикаментозную терапию и проходили курс когнитивной реабилитации с использованием компьютерных стимулирующих программ. Результаты: в послеоперационном периоде наблюдалось улучшение когнитивных функций по ряду тестов, таких как рисование часов и три этапа теста на запоминание 10 слов, по сравнению с предоперационным уровнем. В некоторых тестах, например, MMSE, FAB и пробе Шульте, показатели оставались на уровне дооперационной оценки, свидетельствуя о сохранении когнитивных способностей. Отмечалось значимое снижение уровня окситоцина, начиная со 2-х суток послеоперационного периода, и статистически значимый рост к 10-му дню госпитализации. Выявлено наличие корреляционной связи между показателями биомаркера окситоцина и наличием когнитивного дефицита. Особенно ярко эта связь проявляется при использовании скрининговых тестов MMSE, FAB, теста на запоминание 10 слов и пробы Шульте. Заключение: по результатам исследования доказана эффективность послеоперационной когнитивной реабилитации с использованием компьютерных стимулирующих программ. Возможно рассмотрение окситоцина как биомаркера сосудистых когнитивных нарушений.
Цель: изучение особенностей артериальной гипертензии (АГ) у пациентов с патологией венозной системы. Материалы и методы: исследование состояло из двух этапов. На первом этапе были включены 410 пациентов с АГ. Предварительно выявляли наличие признаков дисплазии соединительной ткани (ДСТ), проводили измерение роста и веса с последующим расчётом индекса массы тела (ИМТ, кг/м2), методом ультразвуковой диагностики исследовали показатели почечного венозного кровотока, состояние сердца и почек, измеряли уровень креатинина, глюкозы, мочевой кислоты, липидного профиля в сыворотке крови. При наличии у обследуемого нарушений почечного венозного кровотока в дополнение к стандартной антигипертензивной терапии (АГТ) назначался курсовой приём препарата диосмин по 600,0 мг 1 раз в сутки в течение 1 месяца 2 раза в год через каждые 6 месяцев с последующим динамическим наблюдением статуса контроля АД и креатинина в течение двух лет. На основании полученных данных пациенты были разделены на две группы: I группа (n=291) (пациенты с АГ + двухсторонние нарушения почечного венозного кровотока) и II группа (n=119) (пациенты с АГ + нормальный почечный кровоток с двух сторон). На втором этапе в зависимости от наличия нарушений почечного венозного кровотока, проводимой АГТ, дополнительного приёма диосмина сформированы три подгруппы: подгруппа 1 (n=69) (нормальный ренальный венозный кровоток + стандартная АГТ), подгруппа 2 (n=80) (двухсторонние нарушения ренального венозного кровотока + стандартная АГТ), а также подгруппа 3 (n=77) (двухсторонние нарушения ренального венозного кровотока + стандартная АГТ + курсовой приём диосмина). Статистическая обработка электронных таблиц Exсel выполнена программой STATISTICA 11. Во всех проведённых тестах был установлен уровень значимости р < 0,05. Результаты: у пациентов с АГ двухсторонние нарушения почечного венозного кровотока встречалось в 2,4 раза чаще в сравнении с нормальным почечным кровотоком (р<0,001) и чаще ассоциировались с такими проявлениями ДСТ, как пролапс митрального клапана (в 11,9 раза, р<0,001), нефроптоз (в 24,8 раза, р<0,001), варикозная болезнь нижних конечностей (в 23,3 раза, р<0,001), геморрой (10,6% vs 0%, р<0,001), хроническая венозная недостаточность (26,5% vs 0%, р<0,001), варикоцеле (в 6,0 раз, р=0,05). Кроме того, при сравнении ИМТ между группами получены достоверные различия: доля лиц с ИМТ 18,6 –24,9 в 8 раз выше среди пациентов группы 1 (43,3% vs 5,3%, р<0,001). У пациентов с наличием АГ и двухсторонних нарушений почечного венозного кровотока удалось установить, что у 30% обследованных наличие признаков варикозной болезни нижних конечностей, а также хронической венозной недостаточности носило семейный характер (данные состояния встречались у родителей, бабушек и дедушек). Кроме того, пациенты с АГ и двухсторонним нарушением почечного венозного кровотока в 100% случаев отмечали кризовое течение АГ, ассоциированное с употреблением алкоголя (включая слабоалкогольные напитки), а также с эпизодами гиподинамии. Дополнительное назначение у пациентов с АГ и двухсторонним нарушением почечного венозного кровотока к стандартной АГТ диосмина позволило замедлить темпы прогрессирования снижения скорости клубочковой фильтрации. Заключение: наличие у пациентов с АГ таких состояний, как пролапс митрального клапана, нефроптоз, варикозная болезнь вен нижних конечностей, варикозное расширение вен семенного канатика и дистального отдела прямой кишки, хроническая венозная недостаточность, а также показателей ИМТ, соответствующих норме, может быть предиктором наличия нарушенного ренального венозного кровотока. Пациенты с АГ и нарушением почечного венозного кровотока имеют характерные особенности клинического течения АГ (семейный анамнез венозной патологии), наслоение образа жизни (употребление алкоголя, гиподинамия), провоцирующее кризовое течение. Дополнительное назначение к проводимой АГТ у данной категории пациентов препаратов, влияющих на состояние венозной системы, патогенетически рационально и может замедлить темпы снижения скорости клубочковой фильтрации.
В настоящее время среди всех видов орофациальных болей наименее изученной является персистирующая идиопатическая лицевая боль (ПИЛБ), также известная под старым названием «атипичная лицевая боль». Исследования по данной теме немногочисленны, в связи с чем этот вид прозопалгии продолжает оставаться диагнозом исключения, а частота постановки ошибочного диагноза крайне высока. Проведён поиск литературных источников в базах данных PubMed, Web of Science, Scopus, eLIBRARY для отбора статей, опубликованных с 1924 по 2025 гг., по ключевым словам «persistent idiopathic facial pain», «atypical facial pain». В обзоре рассматриваются распространённость, взгляды на этиопатогенез, клинические проявления, диагностику и лечение ПИЛБ.
По данным Всемирной организации здравоохранения, боль остаётся одной из ведущих причин обращения за медицинской помощью. Современное понимание боли базируется на биопсихосоциальной модели. Хронический болевой синдром (ХБС) у больных с ревматическими заболеваниями представляет собой сложный многоуровневый континуум, часто смешанный по происхождению, в котором сочетаются ноцицептивные, нейропатические и ноципластические механизмы. В обзоре анализируется место центральной сенситизации (ЦС) и фибромиалгии (ФМ) в поддержании персистирования боли у пациентов ревматологического профиля, представлены данные систематических обзоров и мета-анализов о распространённости ФМ при различных ревматических заболеваниях и её влиянии на клинические индексы активности заболевания и качество жизни пациентов. Обсуждаются современные терапевтические подходы к коррекции ЦС и ФМ, включая немедикаментозные методы, препараты центрального действия и перспективы применения ингибиторов янус-киназ (JAK), способных воздействовать как на воспалительные, так и на нейроиммунные механизмы боли.
Настоящий обзор посвящён современному представлению о генетических и метаболомных основах развития, особенностях течения и терапии хронической обструктивной болезни лёгких, одной из ведущих причин заболеваемости и смертности в мире. В нём проанализированы кандидатные гены заболевания, результаты полногеномных ассоциативных исследований, метаболомные изменения при ХОБЛ. Описаны методы метаболомного профилирования и варианты интегративных подходов в использовании этих данных в диагностике и лечении ХОБЛ.
Цель: оценить эффективность различных фармакологических подходов к первичной профилактике дисфункции левого желудочка и сердечной недостаточности, вызванной противоопухолевой терапией. Материалы и методы: обзор выполнен на основе анализа баз данных PubMed, Embase, Scopus и Web of Science. Проведён систематический обзор литературы с анализом данных об использовании бета-блокаторов, блокаторов рецепторов ангиотензина, ингибиторов ангиотензинпревращающего фермента, статинов, ингибиторов SGLT-2 и антагонистов минералокортикоидных рецепторов. Из результатов были исключены клинические случаи, серии случаев, систематические обзоры, метаанализы и исследования на животных. Временные ограничения не устанавливались, и анализировались статьи, опубликованные за все время существования баз данных. Исследования включались, если в них сообщалось об использовании ингибиторов ангиотензинпревращающего фермента/блокаторов рецепторов ангиотензина, бета-адреноблокаторов, ингибиторов натрий-глюкозного котранспортера 2-го типа, статинов, антагонистов минералокортикостероидных рецепторов в качестве первичной профилактики дисфункции левого желудочка и сердечной недостаточности у онкологических пациентов. Необходимые условия для включения в анализ: наличие конечных точек исследования, данных о количестве участников, используемых препаратах для химиотерапии и исходах исследования, а также рандомизированный плацебо-контролируемый характер исследования. Основными оцениваемыми исходами были сердечно-сосудистая смертность, развитие сердечной недостаточности/дисфункции левого желудочка и иные неблагоприятные сердечно-сосудистые события. Результаты: данные об эффективности бета-блокаторов противоречивы. Блокаторы рецепторов ангиотензина (в частности, кандесартан), ингибиторы ангиотензинпревращающего фермента демонстрируют улучшение фракции выброса левого желудочка. Статины (аторвастатин и розувастатин) показали эффективность в первичной профилактике кардиотоксичности. Ингибиторы SGLT-2 продемонстрировали многообещающие результаты в снижении риска кардиотоксичности и неблагоприятных сердечнососудистых событий. Данные об антагонистах минералокортикоидных рецепторов ограничены. Выводы: бета-блокаторы, ингибиторы ангиотензинпревращающего фермента, блокаторы рецепторов ангиотензина, статины и ингибиторы SGLT-2 могут оказывать кардиопротекторный эффект в контексте профилактики кардиотоксичности, вызванной противоопухолевой терапией. Необходимы дополнительные исследования для определения оптимальных стратегий профилактики и лечения, учитывающих индивидуальные факторы риска пациента и применяемую терапию.
В статье представлен систематический обзор литературы, посвящённый анализу эффективности и безопасности применения агонистов рецепторов глюкагоноподобного пептида-1 (арГПП-1) при хронической сердечной недостаточности (СН) с сохранённой фракцией выброса левого желудочка (ХСНсФВ). Вопрос исследования касался возможностей совместного приёма препаратов из групп ингибиторов натрий-глюкозного котранспортера 2 типа (иНГЛТ2) и арГПП-1. Поиск литературы осуществлялся в системе PubMed. В окончательный анализ вошли 11 исследований, соответствующих изучаемой теме. Согласно анализу, арГПП-1 являются эффективным средством для терапии пациентов с ХСНсФВ, приводя к уменьшению симптомов СН и улучшению качества жизни таких больных. Вопросы одновременного назначения арГПП-1 и иНГЛТ2 достаточно подробно изучены у пациентов с сахарным диабетом 2 типа: продемонстрированы эффективность и безопасность такой комбинации. При отсутствии СД у пациентов с ХСНсФВ оптимизация лечения с использованием класса арГПП-1 требует проведения дополнительных специально спланированных исследований.
Статистика статьи
Статистика просмотров за 2026 год.
Издательство
- Издательство
- РОСТГМУ
- Регион
- Россия, Ростов-на-Дону
- Почтовый адрес
- 344022, Ростовская обл, г Ростов-на-Дону, Нахичеванский пер, зд 29
- Юр. адрес
- 344022, Ростовская обл, г Ростов-на-Дону, Нахичеванский пер, зд 29
- ФИО
- Шлык Сергей Владимирович (РЕКТОР)
- E-mail адрес
- shlyk_sw@rostgmu.ru
- Контактный телефон
- +7 (863) 2504200
- Сайт
- https://rostgmu.ru/