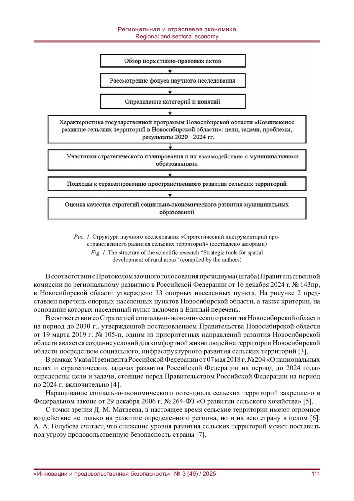
Рассмотрен стратегический инструментарий пространственного развития сельских территорий в контексте государственной программы «Комплексное развитие сельских территорий в Новосибирской области». Представлен обзор нормативно-правовых актов в области пространственного развития сельских территорий. На основе библиометрического анализа отобраны актуальные релевантные статьи, изучен вклад российских ученых в теорию пространственного развития. Результатом эмпирического исследования явилась карта опорных населенных пунктов Новосибирской области. Проанализированы стратегические аспекты пространственного развития сельских территорий (социально-экономические и социально-ориентированные аспекты, пространственная организация и устойчивость развития). Обозначены стратегические инструменты пространственного развития сельских территорий. Выявлены основные проблемы развития сельских территорий Новосибирской области и фокусировка этих проблем на инфраструктурном развитии; показаны направления их решения. Рассмотрены цели, задачи, индикаторы, а также результаты реализованных мероприятий в рамках государственной программы Новосибирской области «Комплексное развитие сельских территорий в Новосибирской области» за период 2020-2024 гг. Представлены результаты экспертной оценки качества стратегий социально-экономического развития муниципальных образований Новосибирской области согласно методике интегральной оценки. В заключение сделаны выводы о перспективах дальнейших исследований.
Идентификаторы и классификаторы
- SCI
- Экономика
Государственная программа Новосибирской области «Комплексное развитие сельских территорий в Новосибирской области» представляет собой стратегический инструмент, направленный на улучшение уровня жизни и условий проживания в сельских районах региона. Государственная программа включает в себя комплексный подход к развитию сельских территорий, в том числе мероприятия по развитию инфраструктуры, социальной сферы, сельского хозяйства, туризма и других отраслей экономики. Развитие сельских территорий способствует достижению целей, поставленных в Стратегиях национальной безопасности и пространственного развития, Доктрине продовольственной безопасности России.
Если у вас возникли вопросы или появились предложения по содержанию статьи, пожалуйста, направляйте их в рамках данной темы.
Список литературы
1. Стратегическое планирование комплексного развития сельских территорий: науч. изд. / О. В. Ухалина, А. В. Горячева, В. Н. Кузьмин [и др.]. - М.: Росинформагротех, 2023. - 128 с. EDN: PKVWSJ
2. Об утверждении Стратегии пространственного развития Российской Федерации на период до 2030 года с прогнозом до 2036 года: распоряжение Правительства РФ от 28 декабря 2024 г. № 4146-р // КонсультантПлюс: справочная правовая система. - URL: https://www.consultant.ru/document/cons_doc_LAW_495567/(дата обращения: 26.02.2025).
3. О Стратегии социально-экономического развития Новосибирской области на период до 2030 года: постановление Правительства Новосибирской области от 19 марта 2019 г. № 105-п // Система Гарант: справочно-правовая система. - URL: https://base.garant.ru/47542312/(дата обращения: 18.10.2024).
4. О национальных целях и стратегических задачах развития Российской Федерации на период до 2024 года: Указ Президента РФ от 7 мая 2018 г. № 204. - URL: https://www.garant.ru/products/ipo/prime/doc/71837200/(дата обращения: 16.10.2024).
5. О развитии сельского хозяйства: Федеральный закон от 29 декабря 2006 г. № 264-ФЗ // КонсультантПлюс: справочная правовая система. - URL: https://www.consultant.ru/document/cons_doc_LAW_64930/(дата обращения: 17.10.2024).
6. Матвеев Д.М., Меняйкин Д.В., Таланова А.О. Проблемы и перспективы устойчивого развития сельских территорий // Экономика и бизнес: теория и практика. - 2015. - № 5. - С. 17-20. EDN: UEAEQF
7. Ориентиры развития сельского хозяйства в новых условиях / Д. М. Матвеев, Д. В. Меняйкин, А. О. Таланова, Е. В. Багирова // Аграрный научный журнал. - 2015. - № 10. - С. 76-80. EDN: ULZYMR
8. Инновационные основы системного развития сельского хозяйства: стратегии, механизмы, технологии: [монография] / И. Ф. Хицков, А. В. Петриков, В. М. Баутин [и др.]; под ред. И. Ф. Хицкова. - Воронеж: Центр духовного возрождения Черноземного края, 2014. - 798 с.
9. Пространственное развитие сельских территорий // Международный сельскохозяйственный журнал, 2023 [Электронный ресурс] / М. Н. Гаврилюк, К. С. Ильичев, С. В. Орлов [и др.] // Международный сельскохозяйственный журнал. - 2023. - Т. 66, № 5 (395). - С. 449-453. - URL: https://cyberleninka.ru/article/n/prostranstvennoe-razvitie-selskih-territoriy (дата обращения: 03.11.2024). EDN: ZBHKFU
10. Кобзева М. А. Обзор подходов к определению понятия “пространственное развитие региона” [Электронный ресурс] // Университетский комплекс как региональный центр образования, науки и культуры: материалы Всерос. науч.-метод. конф. Оренбург, 01-03 февраля 2024 г. - Оренбург: ОГУ, 2024. - С. 3687-3694. - URL: item.asp?id=65855457 (дата обращения: 24.02.2025). EDN: DFMISO
11. Ковалев И. В., Лосев В. В. Обзор документов стратегического планирования федерального уровня в сфере научно-технологического развития. Сквозные технологии - искусственный интеллект [Электронный ресурс] // Информатика. Экономика. Управление. - 2023. - Т. 2, № 3. - С. 0401-0425. - URL: https://cyberleninka.ru/article/n/obzor-dokumentov-strategicheskogo-planirovaniya-federalnogo-urovnya-v-sfere-nauchno-tehnologicheskogo-razvitiya-skvoznye-tehnologii (дата обращения: 25.02.2025). EDN: UYWIWK
12. Брои Х. В. Обзор зарубежной практики стратегического планирования социально-экономического развития территории: основные тенденции [Электронный ресурс] // Экономика и право - 2023: сб. ст. II Международ. науч.-практ. конф. Петрозаводск, 15 июня 2023 г. - Петрозаводск: Новая наука, 2023 - С. 78-84. - URL: https://sciencen.org/assets/Kontent/Konferencii/Arhiv-konferencij/KOF-827.pdf#page=78 (дата обращения: 25.02.2025). EDN: WTZBTP
13. Курочкина А. А., Ноздрачев А. В. Зарубежный опыт стратегического планирования развития отдельных территорий // Новая экономическая реальность, кластерные инициативы и развитие промышленности (ИНПРОМ-2016): труды международ. науч.-практ. конф. Санкт-Петербург, 19-26 мая 2016 г. - СПб.: СПбПУ им. Петра Великого, 2016. - С. 113-122. EDN: WGKQJV
14. Зеленев А. Н. Планирование инноваций в сельскохозяйственной организации // Интеллектуальный потенциал молодых ученых как драйвер развития АПК: материалы международ. науч.-практ. конф. молодых ученых и обучающихся. Санкт-Петербург - Пушкин, 16-18 марта 2022г. - Санкт-Петербург: СПбГАУ, 2023. - С. 657-661. EDN: XRZPIK
15. Гатауллина А. А., Зяббарова А. А. Управление научно-технологическим развитием регионов Приволжского федерального округа: обзор государственных программ [Электронный ресурс] // Известия Юго-Западного государственного университета. Серия: Экономика. Социология. Менеджмент. - 2024. - Т. 14, № 4. - С. 126-140. - 10.21869/2223-1552-2024-14-4-126-140 (дата обращения: 26.02.2025). DOI: 10.21869/2223-1552-2024-14-4-126-140( EDN: YOZISA
16. Ботаева Л. Б., Шимко Н. В. Обзор деятельности институтов развития Томской области в 2021-2022 годах // Современное образование: интеграция образования, науки, бизнеса и власти. Трансформация образования, науки и производства - основа технологического прорыва: материалы международ. науч.-метод. конф. Томск, 26-27 января 2023 г. В 2 ч. Ч 1. - Томск: ТУСУР, 2023. - С. 203-208. EDN: DKEHHL
17. Горлова И. И., Бычкова О. И. Реализация культурно-образовательного потенциала культурной политики в рамках образовательных систем [Электронный ресурс] // Журнал Института Наследия. - 2024. - № 4 (39). - URL: https://cyberleninka.ru/article/n/realizatsiya-kulturno-obrazovatelnogo-potentsiala-kulturnoy-politiki-v-ramkah-obrazovatelnyh-sistem (дата обращения: 02.03.2025). EDN: SBNUBT
18. Шестак О. И., Образцова Е. Ю. Эволюция системы государственного управления рыбохозяйственной отраслью в России: историографический обзор [Электронный ресурс] // Инновационное развитие рыбной отрасли в контексте обеспечения продовольственной безопасности Российской Федерации: материалы VI Национал. науч.-техн. конф. Владивосток, 22 декабря 2022 г. - Владивосток: Дальрыбвтуз, 2023. - С. 404-413. - URL: item.asp?id=50324972 (дата обращения: 02.03.2025). EDN: NAYDXU
19. Акулин И. М., Ионкина И. В. Проблемы и перспективы государственно-частного партнерства в здравоохранении Российской Федерации (обзор литературы) [Электронный ресурс] // Общественное здоровье и здравоохранение. - 2023. - № 2 (77). - URL: https://cyberleninka.ru/article/n/problemy-i-perspektivy-gosudarstvenno-chastnogo-partnerstva-v-zdravoohranenii-rossiyskoy-federatsii-obzor-literatury (дата обращения: 02.03.2025). EDN: KRCKRC
20. Пронина Д. А. Обзор ведущих предприятий химической промышленности Алтайского края [Электронный ресурс] // Актуальные вопросы функционирования экономики Алтайского края: сб. ст. Вып. 15. / Под общ. ред. В. В. Мищенко. - Барнаул: Издательство АлтГУ, 2023. - 195 с. - URL: http://mishchenko.info/sborniki/sbornik_2023.pdf#page=142 (дата обращения: 02.03.2025).
21. Кулькова И. А. Обзор научных исследований экономического поведения населения [Электронный ресурс] // HumanProgress. - 2024. - Т. 10, вып. 1. - 15 с. - URL: http://progress-human.com/images/2024/Tom10_1/Kulkova.pdf (дата обращения: 25.02.2025).
22. Об утверждении государственной программы Российской Федерации “Комплексное развитие сельских территорий”: постановление Правительства РФ от 31 мая 2019 г. № 696 // КонсультантПлюс: справочная правовая система. - URL: https://www.consultant.ru/document/cons_doc_LAW_326085/(дата обращения: 16.10.2024).
23. О государственной программе Новосибирской области “Комплексное развитие сельских территорий в Новосибирской области: постановление Правительства Новосибирской области от 31 декабря 2019 г. № 525-п // Консорциум КОДЕКС: электронный фонд правовой и нормативно-технической информации. - URL: https://docs.cntd.ru/document/465734594 (дата обращения: 16.10.2024).
24. О стратегическом планировании в Российской Федерации: Федеральный закон от 28 июня 2014 г. № 172-ФЗ (ред. от 17 февраля 2023 г.) // КонсультантПлюс: справочная правовая система. - URL: https://www.consultant.ru/document/cons_doc_LAW_164841/?ysclid=l s1w45fapc332863333 (дата обращения: 18.10.2024).
25. Комплексное развитие сельских территорий [сайт]. - URL: https://mcxт.рф (дата обращения: 20.10.2024).
26. Комплексное развитие сельских территорий в Новосибирской области [Электронный ресурс] / Министерство сельского хозяйства Новосибирской области. - URL: https://mcx.nso.ru/page/907 (дата обращения: 20.10.2024).
27. Рисин И. Е. Оценка качества стратегий социально-экономического развития регионов [Электронный ресурс] // Регион: системы, экономика, управление. - 2022. - № 1 (56). - С. 41-48. - URL: https://cyberleninka.ru/article/n/otsenka-kachestva-strategiy-sotsialno-ekonomicheskogo-razvitiya-regionov (дата обращения: 18.11.2024). EDN: AQRUDW
28. О национальных целях развития Российской Федерации на период до 2030 года: Указ Президента РФ от 21 июля 2020 г. № 474 // КонсультантПлюс: справочная правовая система. - URL: https://www.consultant.ru/document/cons_doc_LAW_357927/(дата обращения: 16.10.2024).
Выпуск
Другие статьи выпуска
На основе анализа потока литературы (в основном - последних полутора десятилетий) представлена картина выпуска работ, посвященных развитию рыболовства в каменном веке на территории Северной Азии. Приведены сведения об издательских центрах, определены состав редакторов и рецензентов, тиражи и типология работ. В ряде случаев рассмотрена структура трудов. Значительная часть исследования посвящена изложению точек зрения современных авторов на развитие рыболовства в каменном веке. Делается вывод о том, что активное развитие рыболовства наблюдается с эпохи неолита. Развито было речное, озерное и морское прибрежное рыболовство, морской зверобойный промысел и аквакультура. Исследователи определяли время зарождения рыболовства на различных территориях, его место в экономике, виды вылавливаемых рыб; давали характеристику рыболовного инвентаря.
Трансформационные преобразования происходят через ряд динамических процессов, одним из которых является структурный сдвиг. Структурные сдвиги можно охарактеризовать как качественные изменения в соотношении между схожими элементами макроэкономической системы. Они вызваны дисбалансом в их развитии и представляют собой изменение потребностей агентов экономической жизни в распределении экономических ресурсов. Целью данной статьи является исследование структурных сдвигов в отрасли сельского хозяйства Иркутской области в разрезе хозяйствующих субъектов. В данном исследовании проведен анализ динамики структурных сдвигов в производстве продукции сельского хозяйства как в целом во всех хозяйствах, так и в разрезе растениеводства и животноводства в предприятиях всех форм хозяйствования, а также в зависимости от площади, занимаемой предприятиями всех форм хозяйствования. Выявлено увеличение в производстве отрасли сельского хозяйства доли продукции крестьянских фермерских хозяйств и снижение доли сельскохозяйственных организаций. Проведенный анализ показывает, что крестьянско-фермерские хозяйства Иркутской области увеличивают размеры производства и реализации сельскохозяйственной продукции. С одной стороны, рост производства объясняется укрупнением размеров крестьянских (фермерских) хозяйств и плавной адаптацией фермерского производства к рыночным отношениям, с другой стороны, происходит постепенное обновление техники и совершенствование технологических процессов.
Рассмотрены вопросы оценки уровня продовольственной безопасности региона на примере Забайкальского края. Для анализа выявлена тенденция за пять лет по производству основных продуктов питания в регионе, свидетельствующая о небольшом росте по некоторым видам продукции, а по зерну - о значительном увеличении производства. В то же время анализируемый период демонстрирует снижение потребления населением региона основных продуктов, за исключением хлеба и картофеля. Рассчитаны коэффициенты покрытия импорта продовольствия и коэффициенты самообеспечения продовольствием, которые находятся в Забайкальском крае на низком и недопустимо низком уровне. Через коэффициенты бедности и покупательной способности доходов населения региона определена экономическая доступность продовольствия, которая также находится в регионе на низком и недопустимом уровне. Результаты комплексного анализа свидетельствуют о том, что за период 2018-2022 гг. уровень продовольственной безопасности Забайкальского края по большинству показателей остается на низком и недопустимом уровне. Для повышения уровня продовольственной безопасности региона предлагается: увеличение объемов производства сельскохозяйственной продукции, сырья и продовольствия с учетом почвенно-климатических особенностей; организация взаимосвязей с субъектами Российской Федерации, иностранными государствами по поставкам в Забайкальский край продовольствия и сырья для его производства; развитие кооперации и интеграции, а также поддержка сельскохозяйственных товаропроизводителей на региональном уровне.
Муниципальное образование, являясь первичным звеном системы местного самоуправления, представляет собой фундаментальную основу социально-экономического развития как отдельного региона, так и страны в целом. Способность противостоять внутренним и внешним вызовам, рационально использовать доступные ресурсы и обеспечивать стабильное функционирование хозяйственных механизмов напрямую определяет качество жизни населения и перспективы долгосрочного развития территории. Органы местного самоуправления играют ключевую роль в обеспечении экономической безопасности муниципалитетов, реализуя полномочия по управлению муниципальной собственностью местными финансами, содействуя развитию предпринимательства, привлечению инвестиций и реализации программ развития. Методика оценки экономической безопасности, предложенная Ж. А. Мингалевой, позволяет на основе 12 индикаторов комплексно анализировать экономическую, социальную и экологическую сферы деятельности муниципалитета, выявляя кризисные и предкризисные состояния. Оценка экономической безопасности муниципального образования по методике Ж. А. Мингалевой показала смешанное состояние: безопасное по индикаторам бюджетных расходов, прибыльности предприятий, безработицы и выбросов, но кризисное и предкризисное по инвестициям, износу фондов, диверсификации экономики, доходам населения и экологическим затратам. Проведенная оценка позволила выявить ключевые уязвимости экономической системы муниципалитета; определить потенциал устойчивого развития территории; разработать адресные меры по снижению экономических рисков и оптимизировать управленческие решения на местном уровне. Результаты исследования подтверждают необходимость регулярного мониторинга показателей экономической безопасности муниципальных образований как инструмента повышения эффективности местного самоуправления и обеспечения устойчивого развития территорий. Предложенная методика может быть адаптирована для других муниципальных образований с учетом их отраслевой и территориальной специфики.
Рост числа зарегистрированных ИП тесно связан с активизацией работы организаций, деятельность которых направлена на оказание всевозможных мер поддержки СМСП. Такие организации не только получают прибыль, но и стимулируют развитие предпринимательства региона, что положительно сказывается на его экономической безопасности. Услуги, предоставляемые такими организациями, зачастую направлены на помощь в получении субсидий, грантов, кредитов, предоставление имущества в пользование, исполнение определенных работ и обучение конкретным видам деятельности. Крупнейшим представителем таких организаций в Иркутской области выступает Фонд Центр «Мой бизнес». Фонд оказывает большое количество услуг, направленных на поддержку и стимулирование деятельности субъектов малого и среднего предпринимательства. В их число входит: обучение основам предпринимательской деятельности; консультации по различным вопросам, связанным с ведением бизнеса; помощь в получении субсидий и различных льгот; маркетинговые услуги; анализ рынка, как в пределах региона, так и при выходе на экспорт; оформление сайта и продвижение бренда в цифровой среде; предоставление рабочего пространства в коворкинг-центре; гарантийная деятельность путем предоставления поручительства при получении кредита в подавляющем большинстве банков Иркутской области и многое другое. Основной клиентской базой Фонда выступают индивидуальные предприниматели Иркутской области в целом и г. Иркутска в частности. Фонд регулярно оказывает широкий спектр услуг и спрос на эти услуги стабильно растет. Благодаря поддержке Центра «Мой бизнес» сотни ИП начинают и развивают свою деятельность, обеспечивая экономический рост региона и стимулируя укрепление его экономической безопасности. Фонд Центр «Мой бизнес» не является Иркутской организацией. Его филиалы расположены практически во всех субъектах Российской Федерации. Среди отделений Фонда в Сибирском федеральном округе Иркутский филиал занимает одну из лидирующих позиций. Местное отделение Фонда опережает подавляющее большинство аналогичных по округу в таких характеристиках, как капитализация (размер финансовых активов), количество выданных поручительств с начала деятельности, объем выданных поручительств с начала деятельности, регресс (возмещение убытков, понесенных в связи с исполнением Фондом обязательств), общая сумма выданных действующих поручительств, количество партнеров в лице банков и иных кредитных организаций и др. В рейтинге филиалов Фонда Центр «Мой бизнес» по количеству положительных показателей, в которых филиал имеет значение выше среднего, в 2025 г. Иркутский филиал занимает уверенное вторе место, уступая лишь филиалу Новосибирской области.
В условиях нарастающих глобальных вызовов, связанных с изменением климата, геополитической нестабильностью и ростом населения, изменением структуры распределения продуктов продовольственной деятельности, санкционной продовольственной политикой недружественных государств, вопросы обеспечения продовольственной безопасности приобретают особую значимость. Одним из ключевых факторов, влияющих на уровень и устойчивость продовольственного суверенитета государства, являются правовые механизмы регулирования оборота сельскохозяйственных земель. Сельскохозяйственные угодья представляют собой ограниченный и невосполнимый ресурс, от эффективного и рационального использования которого во многом зависит уровень самообеспечения страны продовольствием. В этой связи встает вопрос о том, насколько действующее земельное законодательство справляется с вопросами обеспечения продовольственной безопасности Российской Федерации. Исследование направлено на анализ правовых проблем, связанных с оборотом сельскохозяйственных земель, выявление пробелов и коллизий в законодательстве, а также на формулирование предложений по его совершенствованию с учетом целей национальной продовольственной политики. В ходе подведения итогов исследования правовых проблем законодательного обеспечения продовольственной безопасности в земельных правоотношениях автором предлагаются меры правовой модернизации: пересмотр процедур изъятия неиспользуемых участков с упрощением судебного и административного механизма реагирования; установление ограничений на участие иностранных лиц и оффшорных структур в обороте таких земель в целях обеспечения продовольственной безопасности; внедрение современных технологий государственного контроля - спутникового мониторинга и анализа данных с использованием искусственного интеллекта; расширение системы налоговых и финансовых стимулов для добросовестных пользователей, вовлекающих заброшенные земли в оборот; а также развитие сельскохозяйственных кооперативов с предоставлением им приоритета при распределении невостребованных участков и в доступе к мерам государственной поддержки.
Рассмотрены результаты исследования лесоустройства в соответствии с лесоустроительной инструкцией, утвержденной приказом Минприроды России «Об утверждении лесоустроительной инструкции» от 29.03.2018 г. № 122 (регистрация в минюсте от 20.04.2018 г. № 50859). На основе результатов исследования таксационной характеристики объекта проектирования представлен анализ воспроизводства, улучшения породного состава и качества лесов, повышения их продуктивности, проектирования мероприятий по охране, защите, воспроизводству лесов. Лес как совокупность лесной растительности, земли, животного мира и других компонентов окружающей среды имеет важное экологическое, экономическое и социальное значение. Для использования лесов в интересах человека без ущерба для окружающей среды необходимо произвести их инвентаризацию и организовать в них ведение лесного хозяйства. Лесоустройство - это система мероприятий по обеспечению рационального использования лесного фонда, повышению эффективности ведения лесного хозяйства и осуществлению единой научно-технической политики в лесном хозяйстве. Лесоустройство проводится в соответствии с действующей лесоустроительной инструкцией по согласованию с заинтересованными федеральными органами исполнительной власти. Проектирование лесничеств и лесопарков осуществляется в целях установления количества лесничеств и лесопарков, а также закрепления на местности положения их границ. Проектирование эксплуатационных лесов, защитных лесов, резервных лесов, а также особо защитных участков лесов осуществляется в целях подразделения лесов на виды по целевому назначению и выделения особо защитных участков лесов в указанных лесах.
В условиях фермерских предприятий, объединённых в кооператив, изучены результаты скрещиваний скота молочного и мясного направлений продуктивности. Были реализованы две схемы скрещивания. В первом случае телки голштинской породы осеменялись семенем быков породы герефорд, во втором - телки герефордской породы осеменялись семенем джерсейской породы. В рамках исследования были сформированы две группы помесных животных первого поколения: голштинская порода × герефордская порода (ГЛ × ГР) и герефордская порода × джерсейская порода (ГР × ДЖ). Оценивались результаты отелов, включая продолжительность стельности, выход телят, легкость отелов и наличие послеродовых патологий у коров. Живую массу полученных бычков регистрировали при рождении, а также в возрасте 6, 12 и 14 месяцев. Полученные результаты сравнивались как между группами, так и со средними значениями, характерными для родительских пород. Установлено, что в первой группе живая масса телят при рождении составила 28,3 кг, что на 29 % ниже, чем средняя масса телят голштинской породы, что является важным для легкости протекания отелов. Во второй группе масса новорожденных телят была средней между отцовской и материнской породами и составила 23,1 кг. На протяжении всего периода выращивания помеси голштинской и герефордской породы демонстрировали высокую скорость роста и в возрасте 14 мес. имели живую массу 467 кг, что находится на уровне показателей чистопородных герефордов. Молодняк от скрещивания герефордской и джерсейской пород имел значительно более низкую скорость роста.
Проведен обзор данных о современном состоянии и перспективах развития овцеводства в Республике Бурятия, анализ динамики и структуры поголовья овец, их породного состава и продуктивности. В настоящее время в республике насчитывается 301,5 тыс. голов овец, что составляет 35,2 % в структуре стада сельскохозяйственных животных. Численность племенных животных в настоящее время возросла до 43,2 тыс. голов, что составляет 6,2 % от общего поголовья. 6 племенных заводов и 17 племенных репродукторов функционируют на основании 29 свидетельств на разведение сельскохозяйственных животных 10 пород. Племенные овцы содержатся в трех хозяйствах: два хозяйства заняты разведением овец Бурятской грубошерстной породы буубэй и одно хозяйство - овец Бурятского типа забайкальской тонкорунной породы. Учеными Бурятского научно-исследовательского института сельского хозяйства - филиала СФНЦА РАН начата работа по совершенствованию продуктивных качеств овец бурятской грубошерстной породы буубэй на основе использования генетического потенциала породы Дорпер. Целенаправленная селекционно-племенная работа по совершенствованию продуктивных качеств овец и созданию системы интенсивного животноводства с применением сочетанных технологий содержания животных и обеспечением кормовой базы позволят создать породу и типы скороспелых, полиэстричных, хорошо адаптированных к местным условиям овец мясного направления продуктивности.
Шалфей испанский (Salvia hispanica), также известный как чиа, - это травянистое растение, относящееся к семейству яснотковых. Эти семена активно культивируются в коммерческих целях в таких странах, как Мексика, Гватемала, Боливия, Австралия, Перу, Аргентина, а также в Америке и Европе. Шалфей испанский давно признан важным продуктом в пищевой культуре древних цивилизаций, где его семена были основным элементом рациона. Семена чиа являются отличным источником макроэлементов и различных биоактивных соединений. Многочисленные исследования подтвердили их положительное влияние на здоровье человека благодаря уникальному химическому составу. Эти семена содержат значительное количество полифенолов, которые обладают мощными антиоксидантными свойствами. Семена, мука, масло и слизь (гель) чиа используются для создания новых продуктов. Чиа успешно интегрирована в разнообразные пищевые изделия и напитки, включая мясные продукты, спортивные напитки, выпечку, мороженое, замороженные десерты, закуски, молочные продукты, функциональные напитки и безглютеновые продукты. Питательные и технологические преимущества чиа включают улучшение жирнокислотного профиля, повышение антиоксидантной активности, использование в качестве заменителя жира и общее улучшение питательной ценности. Кроме того, семена чиа являются универсальным ингредиентом для разнообразных кулинарных применений. Функциональные продукты питания становятся все более популярными, особенно в странах с развитыми экономиками. Это связано с изменением образа жизни и растущим интересом к преимуществам биоактивных диетических компонентов. Включение семян чиа в рецептуры может способствовать созданию функциональных продуктов, добавляя дополнительные пищевые волокна, фенольные соединения и растительный белок. Семена чиа обладают многообещающим потенциалом в качестве функционального ингредиента благодаря своему выдающемуся пищевому профилю.
Соки играют важную роль в рационе питания современного человека. Они обеспечивают организм необходимыми витаминами, минералами и другими полезными веществами. В связи с этим производители соков оказываются под повышенным вниманием потребителей. В данном обзоре рассматриваются современные методы управления и контроля качества на разных стадиях производства. Особое внимание уделяется инновационным методам обработки, таким как холодная пастеризация и использование биопленок для упаковки, которые способствуют продлению срока хранения соков и повышению их качества. Современные подходы к производству различны. Некоторые представляют собой оптимизации традиционных технологий, к таким технологиям можно отнести пастеризацию и асептическую упаковку. Однако наряду с ними активно внедряются и инновационные решения. Например, обработка высоким давлением и использование импульсного электрического поля становятся все более популярными. Обзор современных методов управления технологическими процессами в производстве соков длительного хранения демонстрирует значительные достижения в нескольких ключевых областях. Во-первых, это касается обеспечения безопасности конечного продукта. Во-вторых, особое внимание уделяется качеству и питательной ценности соков. Автоматизация процессов и применение интеллектуальных систем управления дают возможность значительно повысить эффективность и контроль над производственными процессами. Успешная реализация этих передовых методов позволит производителям не только удовлетворять растущие требования потребителей, но и гарантировать высокое качество, безопасность и питательную ценность соковой продукции. Кроме того, данные меры помогают сохранить конкурентоспособность на рынке. Будущее производства соков длительного хранения связано с интеграцией новейших технологических достижений. Комплексный подход к управлению качеством на всех этапах производственного цикла становится необходимостью для успешного функционирования в данной отрасли.
Статистика статьи
Статистика просмотров за 2026 год.
Издательство
- Издательство
- НГАУ
- Регион
- Россия, Новосибирск
- Почтовый адрес
- 630039, Новосибирская область, г. Новосибирск, ул. Добролюбова, 160
- Юр. адрес
- 630039, Новосибирская область, г. Новосибирск, ул. Добролюбова, 160
- ФИО
- Рудой Евгений Владимирович (РЕКТОР)
- E-mail адрес
- rector@nsau.edu.ru
- Контактный телефон
- +7 (383) 2673811
- Сайт
- https://nsau.edu.ru/