На 54 геоботанических описаниях пробных площадок пустынной зоны Нижней Волги (в пределах южной части Астраханской области) выявлено 12 видов эпифитных лишайников: Amandinea punctata (Hoffm.) Coppins et Scheid., Arthonia apatetica (A. Massal.) Th. Fr., Arthonia punctiformis Ach., Calogaya lobulata (Flörke) Arupet al., Melanelixia cf. subargentifera (Nyl.) O. Blanco et al., Myriolecis hagenii (Ach.) Śliwa et al., Phaeophyscia nigricans (Flörke) Moberg, Physcia adscendens H. Olivier, Polycauliona polycarpa (Hoffm.) Frödénet al., Rinodina pyrina (Ach.) Arnold, Toninia populorum (A. Massal.) Kistenichet al., Xanthoria parietina (L.) Th. Fr.
Идентификаторы и классификаторы
- SCI
- Биология
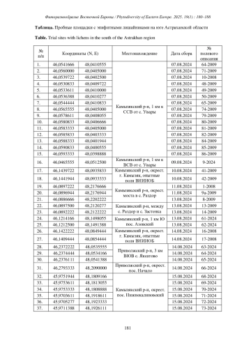
В августе 2024 года нами исследовалась флора и растительность дельты р. Волги (юг Астраханской области: Камызякский и Приволжский районы). В результате были выполнены 272 геоботанических описания растительности, из них на 54 пробных площадках (таблица) в кустарниковых пустынных сообществах встречены эпифитные лишайники, приуроченные к стволам и ветвям Elaeagnus angustifolia L. (№№ 2, 8-10, 12, 13, 15, 17, 18, 21, 24, 25, 27, 31-44, 46-48), Tamarix ramosissima Ledeb. (№№ 1, 3-7, 11-14, 16, 19, 20, 22, 23, 28-30, 34, 37, 43-46, 48- 54) и Ulmus pumila L. (№ 26). Коллекторы: В. М. Васюков, А. В. Чувашов, Н. Ю. Степанова, М. В. Мальцев.
Если у вас возникли вопросы или появились предложения по содержанию статьи, пожалуйста, направляйте их в рамках данной темы.
Список литературы
1. [Golubkova] Голубкова Н.С. 1983. Анализ флоры лишайников Монголии. Л.: Наука, - 281 с.
2. Nimis P.L., Conti M., Martellos S. 2024. ITALIC 8.0 The information system on Italian lichens. URL: https://italic.units.it/index.php (date of access: 03.12.2024).
3. Westberg M., Moberg R., Myrdal M., Nordin A., Ekman S. 2021. Santesson′s checklist of Fennoscandian lichen-forming and lichenicolous fungi. Uppsala. 933 p.
Выпуск
Другие статьи выпуска
В статье приводятся материалы, обобщающие состав водной флоры водоемов и водотоков Волжского бассейна: таксономическая структура; показатели фиторазнообразия; характеристика состава семейств по числу родов, видов и гибридов, указаны ведущие семейства и роды анализируемой флоры; приведен экологический спектр водной флоры в сравнительном аспекте с таковой европейской части России и Российской Федерации; дан анализ раритетных видов региональных Красных книг гидрофильного компонента флоры для территорий Верхнего, Среднего и Нижнего Поволжья. Рассматриваются условия, при которых возможно создание Красной книги Волжского бассейна. Приводится флористический список с учетом гибридных таксонов по семействам с указанием экологических групп растений, встречаемости на территории европейской части России и Волжского бассейна.
В начале статьи приводятся краткие сведения об истории флористических исследований в Мордовии. Содержатся материалы о двух новых видах для флоры Мордовии ( Chenopodium betaceum и Veronicaperegrinа ), а также о новых местонахождениях 17 редких растений ( Anemone sylvestris, Artemisia armeniaca, A. latifolia, A. pontica, Aster amellus, Bupleurum falcatum, Cypripedium calceolus, Galatella angustissima, Hieracium virosum, Melica transsilvanica, Najas major, Salix myrtilloides, Spiraea crenata, Stipa sareptana, S. tirsa, Trapa natans, Verbascumphoeniceum ), входящих в Красную книгу Республики Мордовия. Среди них растения имеющие разные статусы редкости: 1 (исчезающий вид) - 3, 2 (уязвимый вид) - 14. Подчеркивается необходимость охраны местообитаний редких видов. В ходе исследований выявлены также местонахождения 7 видов, не входящих в Красную книгу аборигенных и чужеземных, но дополняющих флоры муниципальных районов и состав урбанофлор Инсара, Краснослободска и Саранска.
В составе флоры высших растений Волго-Уральского региона за последние 15 лет отмечено таксонов: новых - 18 видов и 1 гибрид; редких - 20 видов и 1 гибрид; исчезающих - 5 видов.
Охарактеризовано современное состояние флоры и растительности западной части хребта Кугитанг, приведён сравнительный анализ с другими флористическими районами Туркменистана и выявлены факторы, угрожающие состоянию растительности.
В результате полевых исследований 2014-2023 гг. на особо охраняемых природных территориях различных районов Ивановской области выявлены 14 новых для региона видов лишайников. Для одного вида ( Bryoria vrangiana (Gyeln.) Brodo et D. Hawksw.) впервые указываются точные местонахождения. Пять видов - Bryoria furcellata, Cladonia rangiformis, C. sulphurina, Peltigera neckeri, Stereocaulon tomentosum - рекомендованы к охране в Ивановской области.
Предложен метод изучения мозаичности. Совместная встречаемость видов была исследована на 1600 квадратиках 5×5 см на пестроовсяницевых лугах альпийского пояса хребта Малая Хатипара Тебердинского национального парка. Для каждого квадратика учтены присутствие видов и число их побегов за 5 лет. Сопряженная встречаемость изучалась путем анализа матрицы корреляций Спирмена встречаемости всех видов между собой и глубины почвенного слоя. Пестроовсяницевые луга - монодоминантное сообщество, в котором Festuca varia занимает наиболее глубокие участки. С ней скоррелирована небольшая плеяда видов, которые могут произрастать в ее дернинах: обычно по одному на квадратик. С большинством остальных видов у доминанта наблюдались отрицательные корреляции. Большинство видов входят в большую плеяду, занимающую более мелкие участки. Среди них было выделено 2 парцеллы с отрицательными корреляциями между собой. Большая парцелла из них распадается на две группы с ядром совместных видов. Меньшая парцелла состоит из 3 видов плотнодерновинных злаков и 2 видов разнотравья, могущих произрастать в дерновине Avenella flexuosa. Положение Hieracium lactucella зависит от его жизненности: при низкой он входит в большую плеяду видов, при высокой вытесняет все виды за исключением Carex huetiana.
На основании полевых исследований памятника природы регионального значения «Озеро Светлое с лесными кварталами с преобладанием вахты трехлистной» в Ульяновской области выявлен видовой состав флоры, включающий 124 вида сосудистых растений. Обнаружены редкие, особо охраняемые растения: Andromeda polifolia, Drosera rotundifolia, Hammarbya paludosa, Oxycoccus palustris, Potentilla alba, Rhododendron tomentosum, Rhynchospora alba, Salix myrtilloides, Scheuchzeria palustris, Utricularia vulgaris.
Приведены сведения о находках 36 новых и 41 редкого видов для флоры Вологодской области. Впервые для флоры региона указываются 2 аборигенных таксона ( Dianthus × jaczonis Asch., Pimpinella saxifraga subsp. nigra (Mill.) Gaudin), 4 чужеродных вида ( Carduus nutans L., Solanum rostratum Dunal, Stachys annua (L.) L., Tragopogon dubius Scop.), 30 растений, обнаруженных вне мест культивирования ( Allium aflatunense B. Fedtsch., Allium rosenorum R. M. Fritsch, Anemonastrum canadense (L.) Mosyakin, Atriplex hortensis L., Campsis radicans (L.) Bureau, Crataegus submollis Sarg., Digitalis purpurea L., Erysimum × cheiri (L.) Crantz, Koenigia divaricata (L.) T. M. Schust. et Reveal, Lactuca sativa L., Ligularia przewalskii (Maxim.) Diels, Lilium maculatum Thunb., Lilium martagon var. pilosiusculum Freyn, Malva trimestris (L.) Salisb., Nigella damascena L., Petroselinum crispum (Mill.) Fuss, Phacelia tanacetifolia Benth., Phedimus spurius (M. Bieb.) ’t Hart, Physalis peruviana L., Potentilla indica (Andrews) Th. Wolf, Raphanus raphanistrum subsp. sativus (L.) Domin, Rhodiola rosea L., Saxifraga rosacea Moench, Spiraea × cinerea Zabel, Trollius asiaticus L., Verbena bonariensis L., Viburnum lantana L., Vinca minor L., Ulmus minor Mill., Zea mays L.).
В статье приведены сведения о редком для Самарской области виде Orthilia secunda (L.) House. По оригинальным данным, данным литературных источников и гербарных сборов показаны места произрастания вида, приуроченного в целом к сосновым лесам региона. Выявлено состояние природных популяций на территории особо охраняемых природных территорий (Узюковский бор, Ставропольский сосняк, Бузулукский бор, Муранский бор). Вид рекомендован для включения в список охраняемых в Самарской области.
В работе проведен анализ изменчивости показателей семенной продуктивности Allium suworowii и A. rosenbachianum - луковичных геофитов, ксеромезофитов, коротковегетирующих весенне-раннелетнецветущих видов флоры Средней Азии. Данные виды характеризуются относительно стабильной реальной семенной продуктивностью в условиях интродукции в Московской области. При этом реальная семенная продуктивность ниже потенциальной в 1,5-1,7 раза (коэффициент семенификации равен 58,8-68,6%. Коэффициент семенификации является одним из показателей успешной интродукции. Низкую степень варьирования у A. suworowii показали завязываемость плодов (8,2%), число семян в соцветии (8,7%) и потенциальная семенная продуктивность (8,1%); у A. rosenbachianum - потенциальная семенная продуктивность (9,1%). Повышенная степень варьирования отмечена у обоих испытанных видов по признаку «число плодов в соцветии»: 21,0 и 27,4% соответственно. Максимальное влияние на показатели потенциальной и реальной семенной продуктивности оказал вид (56,1-59,0%). Доля влияния года составила 17,4-21,6%. Вклад эффектов взаимодействия в изменчивость показателей записан как 20,3-20,6%. Устойчивость и качественные показатели семенной продуктивности растений - одни из важнейших критериев успешности их в культуре. Количественные характеристики семян представляют интерес при разработке семеноведения интродуцентов. Высокий репродукционный потенциал в условиях опыта свидетельствует о возможности семеноводства изученных генотипов.
По результатам исследований, преимущественно 2023-2024 гг., приводится 20 новых для флоры Беларуси видов и гибридов растений. Из них 8 таксонов аборигенные, 7 - адвентивные (включая гибриды между аборигенными и адвентивными видами) и 5 - культивируемые. Указано более 70 видов и гибридов редких растений. Для некоторых из них впервые отмечены факты натурализации, часть видов найдены вблизи границ своего распространения. Для некоторых таксонов приведены комментарии, в которых уточнен региональный статус, частота встречаемости и другие критерии.
В ходе изучения микобиоты Плёсского музея-заповедника (Ивановская область) впервые выявлено 89 видов макромицетов, относящихся к сумчатым (Ascomycota) и базидиальным (Basidiomycota) грибам. Среди них Galerinauncialis является новым для европейской части России, 83 вида впервые отмечены на территории Ивановской области, Clavariadelphuspistillaris занесен в региональную Красную книгу, четыре вида ( Helvellacrispa, Helvella lacunosа, Phaeolepiotaaurea, Skeletocutis odora ) охраняются в сопредельных областях.
Впервые для флоры Республики Мордовия приводится 2 вида и 1 гибрид сосудистых растений: Geraniumdivaricatum Ehrh., Centaurea × livonica Weinm., Dracocephalum nutans L.; для флоры Пензенской области - 2 вида: Carex buekii Wimm., Typha elata Boreau; для флоры Ульяновской области - 1 вид: Centaurea montana L.
В начале июня 2024 г. в результате флористических исследований в 12 пунктах в Камешкирском, Кузнецком, Неверкинском и Пензенском районах Пензенской области выявлено 584 вида сосудистых растений. К числу редких растений, нуждающихся в охране, отнесено 29 видов, из них 3 вида занесены в Красную книгу Российской Федерации (Red…, 2024): Iris aphylla L., Stipapulcherrima K. Koch, Stipa rubens P. A. Smirn. [ S. zalesskii auct. p. p.] и 28 видов - в Красную книгу Пензенской области (Red…, 2024): Adonanthe vernalis (L.) Spach, Allium flavescens Besser, Amygdalus nana L., Aster amellus L., Astragalus varius S. G. Gmel., Carex hartmaniorum Cajander, Dianthus volgicus Juz., Ephedra distachya L., Gagea erubescens ( Besser) Schult. et Schult. f., Galatella villosa (L.) Rchb. f., Gentiana pneumonanthe L., Gladiolus tenuis M. Bieb., Gratiola officinalis L., Iris aphylla L., Jacobaea fluviatilis (Wallr.) E. Wiebe, Lilium pilosiuscum (Freyn) Miscz., Pentanema germanicum (L.) D. Gut. Larr., Santos-Vicente, Anderb., E. Rico et M. M. Mart. Ort., Potentilla alba L., Pseudopodospermum tauricum (M. Bieb.) Vasjukov et Saksonov, Pulsatilla patens (L.) Mill., Salix rosmarinifolia L., Spiraea crenata L., Stipa borysthenica Klokov ex Prokudin, Stipa pennata L., Stipa pulcherrima K. Koch, Stipa rubens P. A. Smirn. [ S. zalesskii auct. p. p.], Stipa tirsa Steven, Trinia multicaulis (Poir.) Schischk. Предложено к организации на региональном уровне три особо охраняемых природных территории.
Приведены сведения о находках 17 новых для территории г. Рязани видов, в том числе 5 аборигенных: Bolboschoenus laticarpus, Brachypodium sylvaticum, Cardamine parviflora, Salix starkeana, Schoenoplectus lacustris, и 12 чужеродных: Avena sativa, Brassica juncea, Chenopodium betaceum, Leymus arenarius, Petunia × hybrida, Rosa rubiginosa, Symphyotrichum novae-angliae, S. novi-belgii, в том числе впервые для Рязанской области указаны Digitaria aegyptiaca, Lupinus albus, Rumex patientia, Solidago × snarskisii. Приведены сведения о 12 редких чужеродных видах в границах г. Рязани.
Приводятся сведения о распространении папоротника Cystopteris fragilis (L.) Bernh. на территории Индерского солянокупольного района и прилегающих к нему территорий Прикаспийской низменности. Дается информация об особенностях экологии C. fragilis в его характерных местообитаниях в виде колодцеобразных карстовых воронок. Указывается, что C. fragilis в пределах Прикаспийской низменности предположительно является реликтом третичного периода, имеющим дизъюнктивный ареал и сохранившимся во времена Хвалынской трансгрессии на солянокупольных возвышенностях-рефугиумах Биш-чохо, Индер и Большое Богдо.
Статистика статьи
Статистика просмотров за 2026 год.
Издательство
- Издательство
- ИПУСС РАН
- Регион
- Россия, Самара
- Почтовый адрес
- 443020, г. Самара, ул. Садовая, 61
- Юр. адрес
- 443001, Самарская область, город Самара, Студенческий пер., д.3 к.а
- ФИО
- Боровик Сергей Юрьевич (Директор)
- E-mail адрес
- borovik@iccs.ru
- Контактный телефон
- +7 (846) 3332770
- Сайт
- http://www.iccs.ru