Способ деселекции элементных последовательностей, максимально снижающих отношение сигнал/шум каналов инфракрасного фоточувствительного модуля с режимом временной задержки и накопления

14 мая 2024 23:12
·
29

Информация об авторе

Информация о патенте

Вид патента
Изобретение
(19) Код страны
RU
(11) Номер
2818512
(45) Опубликовано
02 мая 2024
(56) Список документов цитированных в отчете о поиске

О. В. Гапонов и др. “Деселекция избыточно шумящих элементов в каналах инфракрасных фоточувствительных модулей с режимом временной задержки и накопления для увеличения отношения сигнал/шум”, УСПЕХИ ПРИКЛАДНОЙ ФИЗИКИ, т. 11, No 1, 2023 г., стр. 42-51.
RU 2672982 C1, 21.11.2018.
US 8445838 B1, 21.05.2013.
US 6455832 B1, 24.09.2002.

(73) Патентообладатель
Акционерное общество "НПО "Орион" (RU)

Идентификаторы

Реферат

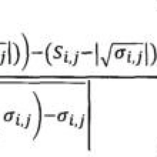
Изобретение относится к области оптикоэлектронного приборостроения и касается способа деселекции элементных последовательностей, максимально снижающих отношение сигнал/шум каналов инфракрасного фоточувствительного модуля с режимом временной задержки и накопления. Способ включает облучение фоточувствительного модуля посредством абсолютно черного тела,измерение напряжений сигналов и шумов элементных последовательностей каналов фоточувствительного модуля, расчет средних арифметических значений напряжений сигналов и дисперсий напряжений шумов элементных последовательностей каналов, выявление элементных последовательностей каналов,подлежащих отключению, и отключение выявленных цепочек каналов фоточувствительного модуля. Выявление элементных последовательностей каналов, подлежащих отключению, осуществляют посредством обработки рассчитанных средних арифметических значений напряжений сигналов и дисперсий напряжений шумов элементных последовательностей каналов фоточувствительного модуля с использованием критерия детектирования элементных последовательностей, максимально снижающих отношение сигнал/шум. Технический результат заключается в увеличении чувствительности фоточувствительных модулей. 11 ил.

Формула изобретения

Способ деселекции элементных последовательностей, максимально снижающих отношение сигнал/шум каналов инфракрасного фоточувствительного модуля с режимом временной задержки и накопления, включающий установку абсолютно черного тела на оптической оси с инфракрасным фоточувствительным модулем, облучение инфракрасного фоточувствительного модуля посредством абсолютно черного тела, многократные прямые измерения напряжений сигналов и шумов элементных последовательностей каналов инфракрасного фоточувствительного модуля, расчет средних арифметических значений напряжений сигналов и дисперсий напряжений шумов элементных последовательностей каналов инфракрасного фоточувствительного модуля, выявление элементных последовательностей каналов инфракрасного фоточувствительного модуля, подлежащих отключению, отключение выявленных цепочек каналов инфракрасного фоточувствительного модуля,отличающийся тем, что выявление элементных последовательностей каналов инфракрасного фоточувствительного модуля, подлежащих отключению, осуществляют посредством обработки рассчитанных средних арифметических значений напряжений сигналов и дисперсий напряжений шумов элементных последовательностей каналов инфракрасного фоточувствительного модуля с помощью критерия детектирования элементных последовательностей, максимально снижающих отношение сигнал/шум каналов инфракрасного фоточувствительного модуля.
По результатам обработки средних значений напряжений сигнала и дисперсий напряжений шума всех цепочек в каждом канале инфракрасного фоточувствительного модуля детектируют и деселектируют элементные цепочки, максимально снижающие отношение сигнал/шум каналов инфракрасного фоточувствительного модуля с режимом временной задержки и накопления.

Моя история просмотров (10)