Целью исследования является разработка концептуальной модели управления инновациями в создании инновационного продукта инжиниринга. Объект исследования: инновационный инжиниринг. Методы исследования: общенаучные методы (анализа и синтеза информации, сравнения). В статье рассматриваются прошлые исследования и подходы к управлению инновациями и созданию инновационного продукта инжиниринга. На основе прошлых публикаций делается вывод о том, что не существует актуальной модели управления инновациями и созданием нового продукта инновационного инжиниринга. В статье дополнено содержание понятий «инновационный продукт инжиниринга» и «управление инновациями инжиниринга».
Научная новизна исследования заключается в предложении концепции управления созданием инновационного продукта инжиниринга. Выделены основные принципы управления инжинирингом инноваций, составлена матрица распределения ответственности ключевых исполнителей в процессах управления инновационным инжинирингом, систематизированы методы стратегического и проектного управления в соответствии с процессами разработки инновационного продукта. Теоретическая значимость исследования состоит в дополнении существующих знаний инновационного менеджмента за счет систематизации методов управления и распределения ответственности.
Идентификаторы и классификаторы
- SCI
- Системология
- Префикс DOI
- 10.24182/2073-6258-2025-24-2-29-35
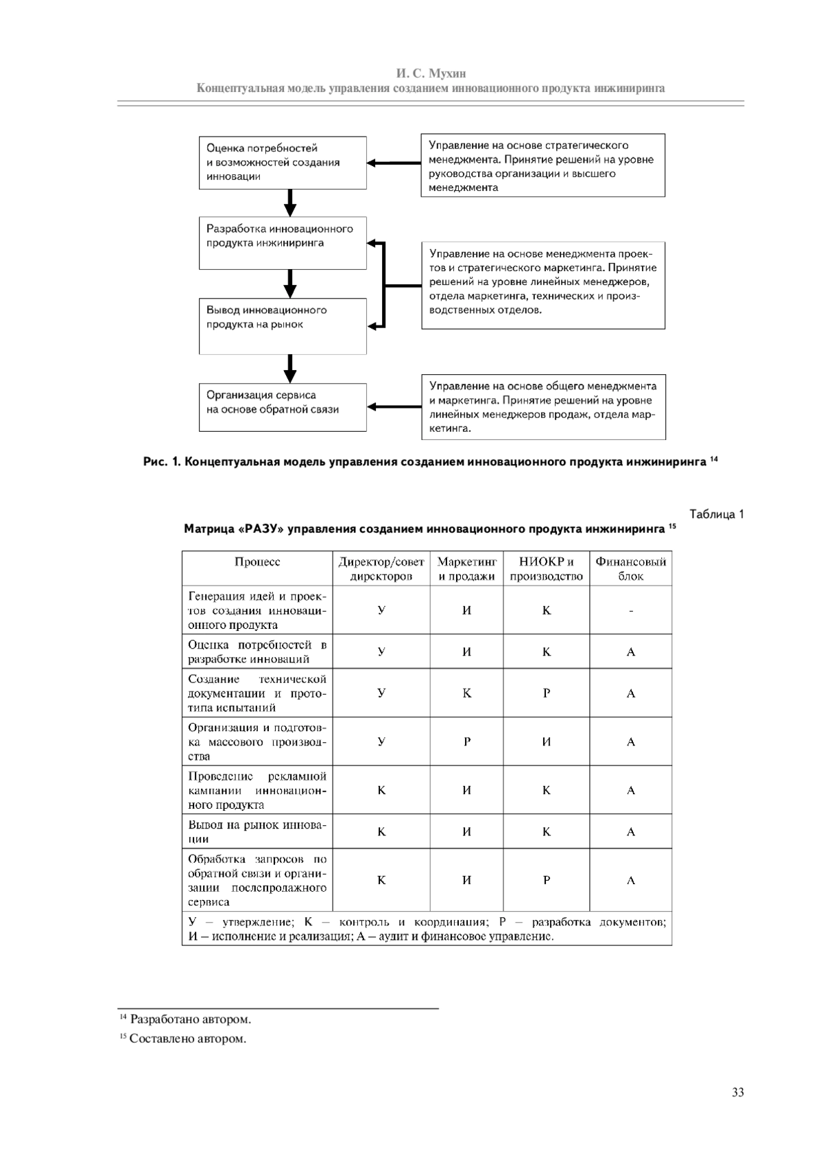
К современным методам управления инновациями относятся: бенчмаркинг, маркетинговые инновации, ценовые методы, фронтирование рынка, слияние и поглощение, инжиниринг, реинжиниринг, брендинг. К прогнозным методам инновационного развития относят метод Делфи, Форсайта, критических технологий, сценарные методы.
Если у вас возникли вопросы или появились предложения по содержанию статьи, пожалуйста, направляйте их в рамках данной темы.
Список литературы
1. Дитковский К.А., Фридлянова С.В. Инновационный рост российской экономики. ИСИЭЗ НИУ ВШЭ. 2024. [Электронный ресурс]. - URL: https://issek.hse.ru/mirror/pubs/share/966501342.pdf (Дата обращения: 02.04.2025). Текст: электронный.
2. Шакалова В.Н. Особенности развития промышленного инжиниринга в условиях цифровой экономики / В.Н. Шакалова. Управление инновационными и инвестиционными процессами и изменениями в условиях цифровой экономики: Сборник научных трудов по итогам III международной научно-практической конференции. 2020. С. 427-431.
3. Башмакова К.В. Реализация инновационной стратегии развития предприятий строительства и инжиниринга / К.В. Башмакова, Д.А. Хабиров. Стратегии и инструменты управления экономикой: отраслевой и региональный аспект: Материалы IX Международной науч-практической конференции. 2021. С. 266-269.
4. Белка А.М. Особенности инжиниринга инновационных проектов на промышленном предприятии. Управление инновационными и инвестиционными процессами и изменениями в условиях цифровой экономики. 2021. С. 377-382.
5. Ибрагимова А.А. Управление инновациями на предприятии / А.А. Ибрагимова, А.С. Доронкина. Опыт и проблемы реформирования системы менеджмента на современном предприятии: тактика и стратегия: сборник статей XXII Международной научно-практической конференции. 2023. С. 182-185.
6. Полянин А.В. Механизм управления инновационной деятельностью наукоемких предприятий / А.В. Полянин, Т.А. Головина, В.А. Полищученко. Вестник Поволжского государственного университета сервиса. Серия: Экономика. 2021. № 3(66). С. 22-27.
7. Лебедев М.М. Управление командами, создающими инновационный продукт / М.М. Лебедев. Юность науки: Сборник студенческих научных статей, Москва, 14-16 апреля 2021 года / Под редакцией Н.И. Архиповой. Том Часть I. - Москва: Российский государственный гуманитарный университет, 2021. С. 112-117.
8. Roberts D.L. Innovating the product innovation process to enable co-creation / D.L. Roberts, R. Palmer, M. Hughes. R&D Management. 2022. Vol. 52. P. 484-497.
9. Савина М.В. Проектное управление инновационной деятельностью как инструмент управленческого консалтинга / М.В. Савина, А.А. Степанов. Социальная политика и социология. 2019. Т. 18, № 3(132). С. 74-82.
10. Кузьминых Н.А. Система управления инновационным развитием региона в контексте цифровой трансформации / Н.А. Кузьминых, А.О. Милицкая. Вопросы инновационной экономики. 2022. Т. 12, № 4. С. 2213-2230.
11. Самаль С.А. Современные методы управления инновационной деятельностью на предприятиях / С.А. Самаль, Т.М. Кублицкая. Экономика и управление (Минск). 2016. № 4(48). С. 3-9.
12. Lager T. Managing ideation and concept integration in the product innovation work process for non-assembled products T. Lager, C.D. Simms, J. Frishammar. University of Portsmouth Journal. 2023. 31 p.
13. Patar C.M. Innovation in Organizations and Management of New Product Development: Strategies and Initiatives. IGI Global Scientific Publishing International Journal of Innovation in the Digital Economy. 2022. Vol.13 (1). P. 1-15.
Выпуск
Другие статьи выпуска
Тематика цифровой (компьютерной) автоматизации и происходящей под ее влиянием трансформации сознания, деятельности и социального поведения современных поколений людей прочно заняла свое место в актуальной повестке дня. Передовые достижения технического прогресса предоставляют человечеству прежде невиданные возможности, однако мало кто задумывается об оборотной стороне технологических «чудес» и расплате за них. Между тем все более заметными атрибутами настоящего и обозримого будущего уже становятся технологическая безработица, цифровая зависимость, когнитивные искажения, духовное обнищание и утрата людьми своих компетенций при чрезмерном использовании технологий на базе искусственного интеллекта. В предлагаемой публикации анализируется, как и почему современный человек оказался в так называемом «цифровом манеже», и может ли он выбраться из этой высокотехнологичной ловушки, не отказываясь от благ прогресса, но начав рационально–критически относиться к ним, во имя сохранения своей свободы и полноценной социализации.
В статье представлены результаты экспертного опроса предпринимателей и преподавателей, инициирующих процесс внедрения профессионального предпринимательского образования. Для определения проблемного поля данного типа образования использован метод экспертного опроса (диагностическое интервью). Взаимосвязи проблем выявлены методом парных сравнений, проведена их группировка и коррекция. Корневые проблемы, требующие приоритетного решения вынесены для дальнейшего обсуждения в профессиональном сообществе.
В условиях цифровой трансформации корпоративные базы знаний (КБЗ) становятся ключевым инструментом управления информацией и человеческим капиталом. Данная статья исследует сущность, функции и механизмы внедрения КБЗ в систему управления персоналом. Корпоративные базы знаний представляют собой централизованное хранилище данных, которое аккумулирует внутренние документы, инструкции, обучающие материалы и кейсы. В работе подчеркивается, что КБЗ способствуют оптимизации процессов адаптации, обучения, оценки и удержания сотрудников, а также сохранению корпоративной памяти. Особое внимание уделено этапам сбора информации, организации доступа, внедрения инструментов мониторинга и аналитики. На примере практик компаний Google и IBM показано, как использование КБЗ ускоряет процессы обучения, улучшает внутреннюю коммуникацию и повышает производительность сотрудников.
В статье делается вывод о том, что в условиях ускоренной цифровизации корпоративные базы знаний играют важную роль в устойчивом развитии компаний, формировании инновационной среды и поддержании высокой эффективности бизнес–процессов.
В современном динамичном мире любая компания озабочена вопросами удержания положения на рынке, повышения экономической устойчивости и конкурентоспособности. Известно, что сегодня практически все компании имеют веб–сайт. Благодаря юзабилити сайта, то есть понятной навигации на сайте, компания может поддерживать свою экономическую устойчивость на необходимом уровне. В работе была поставлена цель привести способы оптимизации юзабилити сайта для усиления экономической стабильности компании. В работе представлены примеры того, как благодаря эффективному сайту промышленным предприятиям удалось повысить экономические показатели, в том числе прибыль. В исследовании использованы методы постановки цели и задач, визуализации, анализа и обобщения. В качестве гипотезы мы предположили, что хорошо разработанный веб–сайт способствует увеличению новых и удержанию постоянных клиентов, что, в конечном счете, обеспечивает финансовую стабильность и экономическую устойчивость компании. В работе сделан акцент на процессе разработки удобства сайта для промышленной компании, что могут взять на вооружение компании малого и среднего бизнеса, а также самозанятые и индивидуальные предприниматели.
В условиях высокой неопределённости и ускоренных изменений в сфере информационных технологий особенно актуальной становится задача эффективного применения гибких методологий управления проектами. Однако на практике уровень гибкости может существенно различаться в зависимости от контекста. Целью настоящего исследования является анализ факторов, влияющих на степень гибкости управления проектами в российских IT–компаниях.
Исследование проведено методом онлайн–анкетирования специалистов, работающих в сфере управления инновационными проектами. Для оценки уровня гибкости респондентов использовалась шкала, построенная на основе ответов на четыре блока вопросов: сбор требований, планирование, коммуникации с заказчиком и командой. Полученные баллы были сопоставлены с характеристиками респондентов, такими как опыт, отрасль, размер компании, размер команды и оценка инновационности проекта.
В статье представлены результаты анализа взаимосвязи между этими факторами и уровнем гибкости управления проектами. Сделан вывод о том, что наиболее существенное влияние оказывают опыт специалиста и степень инновационности проекта, тогда как размер компании и команды не играют решающей роли.
В данной работе проводится сравнительное исследование коэффициентов оценки эффективности в различных методологиях управления проектами: Agile, гибридных подходах и Waterfall.
Целью исследования является определение роли и значимости этих коэффициентов в контексте управления проектами, а также анализ их применения в каждой из рассматриваемых методологий.
Особое внимание уделяется динамичности, адаптивности к изменениям и непрерывной обратной связи в Agile, балансу между структурой и адаптацией в гибридных методологиях, а также строгому планированию и его влиянию на измерение успеха проекта в Waterfall.
Проведённый анализ показал, что выбор подхода к управлению проектом зависит от конкретных условий и задач. Каждый из рассмотренных подходов имеет свои преимущества и недостатки. Выбор подхода должен основываться на анализе конкретных условий проекта, его целей и ограничений.
Результаты исследования могут быть полезны для руководителей проектов, менеджеров и других специалистов, занимающихся управлением проектами. Они могут помочь им выбрать наиболее подходящий подход к управлению проектом и повысить его эффективность за счет внедрения коэффициентов для ее оценки.
В статье представлены результаты комплексного исследования адаптивности онлайн–курсов по тайм–менеджменту для предпринимательской деятельности. На основе анализа программ, ведущих российских образовательных платформ (Нетология, Skillbox, 4brain и др.) выявлен существенный диссонанс между традиционными методиками управления временем и специфическими потребностями предпринимателей. Методология исследования включала контент–анализ, экспертные интервью (n = 15) и анкетирование предпринимателей (n = 120). Установлено, что лишь 30% курсов содержат специализированные модули по работе с бизнес–неопределенностью, при этом программы с долей практики > 50%. Разработана интегративная модель предпринимательского тайм-менеджмента, сочетающая: адаптивные техники планирования (контекстное, жестко–гибкое), динамическую приоритезацию с экономическими критериями, цифровые инструменты автоматизации. Результаты показывают, что эффективные программы должны включать 70% практического контента, кейсы из предпринимательской практики, модули по персональному энергоменеджменту. Предложен алгоритм выбора курсов на основе 4–уровневой системы оценки (непосредственная применимость, бизнес–метрики, ресурсная оптимизация, стратегическая ценность).
Финансовое мошенничество в 21–ом веке приобретает новые виды. В современных условиях всё чаще атакам подвергаются юридические лица, противостояние нарастает. Для успешной практики отражения атак мошенников необходимо иметь знания о трансформации форм мошенничества и методах, с помощью которых можно избежать нападений и не стать жертвой преступников. Особую проблему в данном процессе играет информация, скрываемая самими предпринимателями в качестве попытки спасти имидж организации и собственный авторитет, а также мультисубъектность мошенников.
Предмет исследования — уэйлинг и псевдофранчайзинг как новые формы финансового мошенничества, которому подвергаются юридические лица. Методы исследования — исторический и логический. Результат исследования — обоснования возможности уклонения от новых форм мошенничества на современном рынке.
В статье рассмотрены проблемы обеспечения безопасности в процессе обработки, хранения и передачи информации в современных условиях хозяйствования. При рассмотрении всеобъемлющего характера, важности и необходимости информационного обеспечения любого процесса выделены основные проблемы его защиты. Здесь отдельно рассматривается информационная безопасность на различных уровнях использования и различными субъектами; анализируется актуальная нормативно-правовая база. Информация определяется как элемент конкурентного преимущества и конкурентоспособности, что определяется потенциальной способностью роста на основе получаемой, особенно принципиально новой базы данных, и как элемент защиты уже имеющихся преимуществ, заключаемых в определенном содержании информации. В результате делаются выводы об актуальных опасностях защиты информации для хозяйствующих субъектов и выдвигаются направления возможного решения выявленных проблем и трудностей.
Статистика статьи
Статистика просмотров за 2026 год.
Издательство
- Издательство
- РАП
- Регион
- Россия, Москва
- Почтовый адрес
- 109544, г. Москва, ул. Малая Андроньевская, д. 15
- Юр. адрес
- 109544, г. Москва, ул. Малая Андроньевская, д. 15
- ФИО
- Балабанова Анна Владимировна (РЕКТОР)
- Сайт
- http://rusacad.ru/