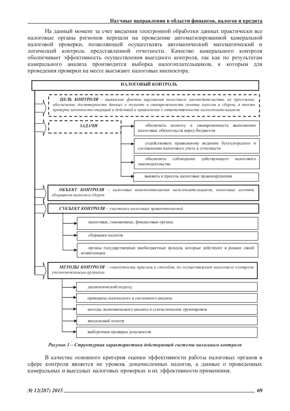
В статье авторы раскрывают сущность налогового контроля, структурную характеристику современной системы налогового аппарата и структуру аппарата ФНС России. Кроме того, авторы приводят формулы расчета и анализа государственного налогового контроля
Идентификаторы и классификаторы
- SCI
- Экономика
На сегодняшний день создание устойчивой финансовой основы существования государства и общества в целом, успешное применение реформ в сфере налогообложения, своевременное и полное формирование бюджетов всех уровней невозможны без создания эффективной системы работы органов налогового контроля, призванных удовлетворить финансовые потребности государства с учетом соблюдения прав организаций и физических лиц. Анализ социально-экономического развития регионов и государства в целом показывает, что причины складывающихся угроз экономической, в том числе финансовой, безопасности имеют ярко выраженный региональный характер
Если у вас возникли вопросы или появились предложения по содержанию статьи, пожалуйста, направляйте их в рамках данной темы.
Список литературы
1. Данченко, М.А. Налоговый контроль: формы и методы проведения [Электронный ресурс] / М.А. Данченко. - Режим доступа: http://tic.tsu.ru/www/uploads/nalog/page22.html.
2. Панкратов, Е.Г. Налоговые органы РФ [Электронный ресурс] / Е.Г. Панкратов. - Режим доступа: http://www.grandars.ru/student/nalogi/nalogovye-organy.html.
3. Смирнова, Е.Е. О контрольной работе налоговых органов [Электронный ресурс] / Е.Е. Смирнова. - Режим доступа: http://www.nalvest.ru/nv-articles/detail.php?ID=28239.
4. Структура аппарата ФНС России [Электронный ресурс]. - Режим доступа: http://nalog-f1.ru.
Выпуск
Другие статьи выпуска
В статье автор определяет роль, место и влияние хозяйственных рисков на предпринимательскую деятельность. Автор раскрывает основные элементы риска, описывает группы рисков предприятия в зависимости от сферы их возникновения, а также предлагает алгоритм управления хозяйственными рисками, направления анализа в системе управления предприятия при принятии альтернативных решений.
В статье рассмотрены основные понятия внутренней трудовой миграции населения страны, определены функции и последствия внутренней миграции населения. Авторами предложена система показателей внутренней трудовой миграции населения, характеризующая ее объемы, направления, интенсивность и влияние на социально-экономическое развитие российских регионов.
Сделки слияний и поглощений являются значимым корпоративным событием для компании. В данной работе представлены результаты анализа эффективности осуществленных сделок слияний и поглощений на развивающихся рынках капитала. Основываясь на методе событий, было доказано, что сделки по передаче корпоративного контроля разрушают стоимость для акционеров компаний-покупателей и сделан вывод о негативном влиянии на эффективность сделок слияний и поглощений государственного участия в акционерной структуре собственности.
Инвестиционная привлекательность промышленных комплексов является одним из основных факторов, определяющих эффективность вложения финансовых средств как государственных, так и частных инвесторов.
В статье раскрывается содержание основных этапов процесса проведения рейтингового анализа инвестиционной привлекательности промышленных предприятий с учетом их отраслевой принадлежности.
В статье рассматриваются вопросы создания дополнительных условий привлечения инвестиций в экологически безопасное производство на основе маркетинговой бизнес ориентации Invest in на фоне общих системных проблем в финансовой сфере.
В данной статье приводится сравнительный анализ ситуации по модернизации и развитию промышленности регионов России в свете указов Президента РФ по началу реализации «Плана мероприятий по обеспечению повышения производительности труда, создания и модернизации высокопроизводительных рабочих мест». Авторы считают, что для повышения экономической эффективности производственного сектора экономики регионов России, а, следовательно, повышения благосостояния общества, необходимо усилить внимание к выявлению новых условий и факторов повышения производительности труда в постиндустриальных обществах и их реализации на практике с учетом национальных и региональных традиций.
В статье автор рассматривает роль транзакционных издержек при осуществлении договорных обязательств. Подробно анализируется понятие «транзакционные издержки», рассматриваются проблемы его толкования и классификации. Автором раскрываются основные теории возникновения транзакционных издержек.
Для современного этапа развития теории и практики маркетинга характерна новая система взглядов, изменяющая традиционное представление о методах моделирования, позволяющая полнее использовать возможности инноваций и идей творческого (креативного) мышления. В статье изложены теоретические основы и практические вопросы маркетингового анализа.
В статье автор рассматривает роль налогового консультирования в современной налоговой системе. Автор приводит определения «налогового консультирования» и «налоговой экспертизы», а также рассматривает их значение для хозяйствующих субъектов с точки зрения законодательства РФ в области налогов и сборов.
В статье рассматриваются особенности институциональных условий реализации ресурсного потенциала региональных субъектов, включающие различные механизмы межуровневого взаимодействия
Рассмотрен текущий этап государственной экологической политики, характеризующийся переходом к концепции технологического регулирования. Сформирован «пакет» государственных стратегических целей c целевыми количественными показателями в области экологического развития. Изучены отдельные элементы системы государственного управления экологоориентированным технологическим развитием, отражающие ее эффективность. Предложен методический подход к проведению оценки эффективности государственного управления на основе мониторинга достижения стратегических целей
Авторами рассмотрено понятие конкурентоспособности региона, дана оценка конкурентоспособности Орловской области. Предложены приоритетные направления развития региона и повышения его конкурентоспособности
В статье рассматривается проблематика государственного регулирования финансовой самостоятельности российских региональных бюджетов, раскрывается динамика доли региональных доходов и расходов в консолидированном бюджете РФ, определяются структурные компоненты долговатого финансирования по региональным субъектам СКФО (банковские кредиты, бюджетные кредиты, ценные бумаги, государственные гарантии)
Рассмотрена актуальность проблемы развития ипотечного кредитования в России. Изучены основные препятствия для участия в ипотеке населению. Рассмотрена проблема строительства в регионах России доходных домов. Предложена принципиальная схема реализации проекта «Доходный дом» на основании частно-государственного партнерства при участии коммерческих банков. Рассмотрена возможность внедрения в практику нового продукта «Обратная ипотека»
В статье автором определены методологические направления постановки управленческого учета на предприятии, включающие в себя определенные элементы и функции, а также научно обосновано применение совокупности показателей управленческого анализа деятельности центров ответственности в условиях балансирования, основанное на комбинировании финансовых и нефинансовых показателей
В период глобализации, стандартизации и унификации экономических отношений в целях эффективного управления организацией большое значение имеет управленческий анализ. В статье представлено исследование особенностей разработки и принятия управленческих решений на основе данных управленческого анализа
Раскрыта сущность мотивационного механизма сберегательного поведения субъектов, охарактеризованы основные его типы. Выявлено, что ядром мотивационного механизма сберегательного поведения населения выступает культура сбережения. Определены взаимосвязи между доминирующей в обществе парадигмой ценностей, типом мотивации и преобладающей моделью сберегательного поведения населения, что позволяет объяснять и прогнозировать тенденции развития и результаты сберегательного процесса в разных социально-экономических условиях
Социально-экономические, политические, научно-технические изменения, происходящие сегодня в образовательной сфере, выступают одним из факторов совершенствования содержания непрерывного профессионального образования. Однако совершенствование содержательной части учебного процесса в подразделениях системы непрерывного образования еще не определяет его эффективность и результативность. Многое здесь зависит от нормативно-правовой базы региональной системы образования, механизмов координации и взаимодействия всех звеньев профессионального образования, рынка труда, центра занятости населения и других структурных подразделений, реализующих программы дополнительного образования. Сказанное позволяет нам подчеркнуть обоснованность выбора данной проблемы
Статья посвящена сравнительному анализу теорий происхождения человека Ч. Дарвина и Ф. Энгельса. Подробно исследуются ключевые моменты рассматриваемых концепций, определяется значение факторов биологической эволюции и трудовой деятельности в эволюционном процессе человека. Выявляются сходства и различия взглядов мыслителей, устанавливается диалектика процесса антропогенеза
Статистика статьи
Статистика просмотров за 2026 год.
Издательство
- Издательство
- ОГУ им. И.С. Тургенева
- Регион
- Россия, Орел
- Почтовый адрес
- 302026, Орловская область, г. Орел, ул. Комсомольская, д. 95
- Юр. адрес
- 302026, Орловская область, г. Орел, ул. Комсомольская, д. 95
- ФИО
- Федотов Александр Анатольевич (РЕКТОР)
- E-mail адрес
- info@oreluniver.ru
- Контактный телефон
- +7 (486) 2751318